Cà Mau mở bán 250 căn nhà ở xã hội Dream House tại khóm 5 phường 9 TP Cà Mau

Sở Xây dựng tỉnh Cà Mau đã có Thông tin mở bán 250 căn nhà ở xã hội Dream House tại khóm 5 phường 9 TP Cà Mau (nay là khóm 19, phường An Xuyên, tỉnh Cà Mau)

Mua bán nhà đất tại Cà Mau

Xem thêm Mua bán nhà đất tại Cà Mau

Nội dung chính

    Cà Mau mở bán 250 căn nhà ở xã hội Dream House tại khóm 5 phường 9 TP Cà Mau

    Ngày 22/8/2025, Sở Xây dựng tỉnh Cà Mau ban hành Công văn 4498/SXD-QLN thông báo Nhà ở hình thành trong tương lai đủ điều kiện bán đối với 250 căn nhà ở xã hội thuộc dự án đầu tư xây dựng nhà ở xã hội khóm 5, phường 9, thành phố Cà Mau, tỉnh Cà Mau.

    Tại Mục III Công văn 4498/SXD-QLN tỉnh Cà Mau nêu rõ sẽ có tổng cộng  250 căn nhà ở xã hội (nhà liền kề) thuộc các block B1, B2, B3, B4, B5, B6, B7, B8, B11, B12 trong Dự án đầu tư xây dựng Nhà ở xã hội khóm 5, phường 9, thành phố Cà Mau (Dream House) do Liên danh Công ty Cổ phần Xây dựng và Phát triển hạ tầng Á Đông – Công ty Cổ phần đầu tư CIC làm chủ đầu tư đủ điều kiện được bán.

    Đồng thời, tại Mục I Công văn 4498/SXD-QLN nêu một số thông tin về 250 căn nhà ở xã hội Dream House tại khóm 5 phường 9 TP Cà Mau như sau:

    1. Tên dự án: Dự án đầu tư xây dựng Nhà ở xã hội khóm 5, phường 9, thành phố Cà Mau.

    2. Địa điểm xây dựng dự án: Khóm 5, Phường 9, thành phố Cà Mau, tỉnh Cà Mau (nay là khóm 19, phường An Xuyên, tỉnh Cà Mau).

    3. Quy mô dự án:

    - Diện tích sử dụng đất: 13,2 ha.

    - Số lượng nhà ở thương mại: 122 căn;

    - Số lượng nhà ở xã hội để bán: 661 căn

    - Số lượng nhà ở xã hội cho thuê: 162 căn

    4. Vốn đầu tư dự án: 1.490.109.000.000 đồng.

    7. Tiến độ xây dựng cơ bản và đưa công trình vào hoạt động hoặc khai thác vận hành (nếu có): 60 tháng, trong đó:

    - Phân kỳ 1 (dự kiến khoảng 11,2ha)

    + Tiến độ chuẩn bị đầu tư: Quý IV/2021 – Quý IV/2024

    + Tiến độ xây dựng, đưa vào sử dụng: Quý I/2025 – Quý IV/2026

    - Phân kỳ 2 (dự kiến khoảng 2,0ha)

    - Tiến độ chuẩn bị đầu tư: Quý I/2025 – Quý II/2026

    - Tiến độ xây dựng, đưa vào sử dụng: Quý III/2026 – Quý IV/2026

    Cà Mau mở bán 250 căn nhà ở xã hội Dream House tại khóm 5 phường 9 TP Cà MauCà Mau mở bán 250 căn nhà ở xã hội Dream House tại khóm 5 phường 9 TP Cà Mau (Hình từ Internet)

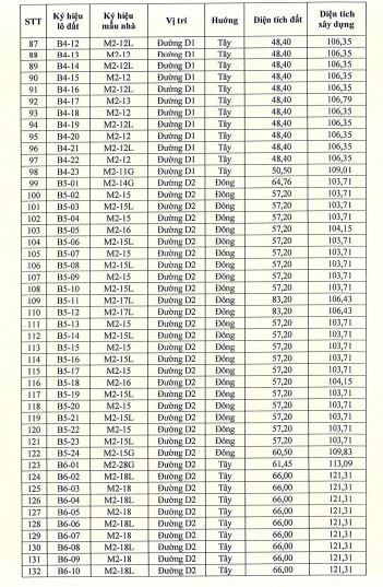
    Chi tiết danh sách mở bán 250 căn nhà ở xã hội Dream House tại khóm 5 phường 9 TP Cà Mau 

    Chi tiết danh sách mở bán 250 căn nhà ở xã hội Dream House tại khóm 5, phường 9, TP Cà Mau được quy định tại Phụ lục Danh sách nhà ở xã hội liền kề hình thành trong tương lai đủ điều kiện được bán tại dự án đầu tư xây dựng nhà ở xã hội khóm 5, phường 9, TP Cà Mau, tỉnh Cà Mau (nay là khóm 19, phường An Xuyên, tỉnh Cà Mau) ban hành kèm theo Công văn 4498/SXD-QLN như sau:

    Thời gian mở bán 250 căn nhà ở xã hội Dream House tại khóm 5 phường 9 TP Cà Mau

    Sở Xây dựng tỉnh Cà Mau đã có Thông tin về bán nhà ở xã hội hình thành trong tương lai của dự án đầu tư xây dựng Nhà ở xã hội khóm 5, phường 9, TP Cà Mau, tỉnh Cà Mau.

    Theo đó, Sở Xây dựng tỉnh Cà Mau nêu rõ thời gian mở bán 250 căn nhà ở xã hội Dream House tại khóm 5 phường 9 TP Cà Mau dự kiến trong tháng 9 năm 2025 sau khi hoàn thành việc tiếp nhận và xét duyệt hồ sơ.

    Đồng thời, giá bán 250 căn nhà ở xã hội Dream House tại khóm 5 phường 9 TP Cà Mau như sau:

    - Giá bán nhà ở xã hội bình quân chưa bao gồm thuế VAT: 13.359.789 đồng/m² sàn xây dựng (Bằng chữ: Mười ba triệu ba trăm năm mươi chín nghìn bảy trăm tám mươi chín đồng trên một mét vuông sàn xây dụng).

    - Giá bán nhà ở xã hội bình quân đã bao gồm thuế VAT: 14.027.779 đồng/m2 sàn xây dựng (Bằng chữ: Mười bốn triệu không trăm hai mươi bảy nghìn tám trăm mười sáu đồng trên một mét vuông sàn xây dựng).

    Lưu ý:

    - Giá bán trên là giá bán bình quân và sẽ được điều chỉnh theo hệ số k căn cứ vào vị trí, diện tích, hướng căn hộ,... theo nguyên tắc bình quân gia quyền đảm bảo tổng bình quân hệ số k của cả tổng các căn nhà ở xã hội bằng 1.

    - Giá bán trên là giá bán bình quân và sẽ được điều chỉnh trong trường hợp cơ quan nhà nước có thẩm quyền ban hành quyết định hoặc văn bản làm ảnh hưởng đến giá bán nhà ở xã hội của dự án.

    saved-content
    unsaved-content
    1