Phí thẩm định hồ sơ cấp sổ đỏ tỉnh Gia Lai sau sáp nhập tỉnh mới nhất
Mua bán nhà đất trên toàn quốc
Nội dung chính
Phí thẩm định hồ sơ cấp sổ đỏ tỉnh Gia Lai sau sáp nhập tỉnh áp dụng theo Nghị quyết nào?
Ngày 22/7/2025, Hội đồng nhân dân tỉnh Gia Lai đã thông qua Nghị quyết 16/NQ-HĐND quyết định việc áp dụng nghị quyết quy định các loại phí và lệ phí thuộc thẩm quyền quyết định của hội đồng nhân dân tỉnh trên địa bàn tỉnh Gia Lai.
Theo Nghị quyết 16/NQ-HĐND năm 2025, HĐND tỉnh Gia Lai đã công nhận và thống nhất thực hiện Quy định các loại phí và lệ phí thuộc thẩm quyền quyết định của Hội đồng nhân dân tỉnh trên địa bàn tỉnh Gia Lai.
Theo đó, phí thẩm định hồ sơ cấp sổ đỏ tỉnh Gia Lai sau sáp nhập tỉnh sẽ vẫn tiếp tục thực hiện theo Nghị quyết có nội dung liên quan do HĐND tỉnh Bình Định (trước sắp xếp) và HĐND tỉnh Gia Lai (trước sắp xếp) đã thông qua và áp dụng trên địa bàn cũ của 02 tỉnh thành.
Trong đó:
- Nghị quyết liên quan đến phí thẩm định hồ sơ cấp sổ đỏ tỉnh Bình Định (cũ): Thực hiện theo Nghị quyết 24/2021/NQ-HĐND.
- Nghị quyết liên quan đến phí thẩm định hồ sơ cấp sổ đỏ tỉnh Gia Lai (cũ): Thực hiện theo Nghị quyết 23/2022/NQ-HĐND, Nghị quyết 83/2024/NQ-HĐND.
Mức thu phí thẩm định hồ sơ cấp sổ đỏ tỉnh Gia Lai sau sáp nhập tỉnh ra sao?
Căn cứ vào nội dung nêu trên, mức thu phí thẩm định hồ sơ cấp sổ đỏ tỉnh Gia Lai sau sáp nhập tỉnh như sau:
[1] Phí thẩm định hồ sơ cấp sổ đỏ áp dụng trên địa bàn tỉnh Bình Định (trước sắp xếp):
Theo Điều 5 Quy định ban hành kèm theo Nghị quyết 24/2021/NQ-HĐND, phí thẩm định hồ sơ cấp sổ đỏ áp dụng trên địa bàn tỉnh Bình Định (trước sắp xếp) như sau:
Đối tượng nộp | Mức thu (đồng/hồ sơ) |
1. Đối với tổ chức |
|
a. Nhỏ hơn 10.000 m2 | 500.000 |
b. Từ 10.000 m2 đến dưới 100.000 m2 | 1.000.000 |
c. Từ 100.000 m2 trở lên | 2.000.000 |
2. Đối với hộ gia đình |
|
a. Tại khu vực đô thị | 200.000 |
b. Tại khu vực nông thôn đồng bằng | 100.000 |
c. Tại khu vực nông thôn miền núi (bao gồm cả phường Bùi Thị Xuân) | 50.000 |
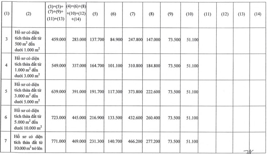
[2] Phí thẩm định hồ sơ cấp sổ đỏ áp dụng trên địa bàn tỉnh Gia Lai (trước sắp xếp):
Theo Phụ lục I và Phụ lục II ban hành kèm theo Nghị quyết 83/2024/NQ-HĐND, phí thẩm định hồ sơ cấp sổ đỏ áp dụng trên địa bàn tỉnh Gia Lai (trước sắp xếp) như sau:
- Phí thẩm định hồ sơ cấp giấy chứng nhận quyền sử dụng đất cho tổ chức



Hình bảng phí thẩm định hồ sơ cấp giấy chứng nhận quyền sử dụng đất cho tổ chức
- Phí thẩm định hồ sơ cấp giấy chứng nhận quyền sử dụng đất cho hộ gia đình, cá nhân
+ Phí thẩm định hồ sơ cấp lần đầu, cấp mới giấy chứng nhận quyền sử dụng đất



Hình bảng "Phí thẩm định hồ sơ cấp lần đầu, cấp mới giấy chứng nhận quyền sử dụng đất"
+ Cấp đổi, cấp lại giấy chứng nhận quyền sử dụng đất; chứng nhận biến động vào giấy chứng nhận quyền sử dụng đất đã cấp cho hộ gia đình, cá nhân






Hình bảng "Cấp đổi, cấp lại giấy chứng nhận quyền sử dụng đất; chứng nhận biến động vào giấy chứng nhận quyền sử dụng đất đã cấp cho hộ gia đình, cá nhân"

Phí thẩm định hồ sơ cấp sổ đỏ tỉnh Gia Lai sau sáp nhập tỉnh mới nhất (Hình từ Internet)
Thẩm quyền cấp sổ đỏ mới nhất năm 2025
Cụ thể tại Điều 136 Luật Đất đai 2024 quy định về thẩm quyền cấp sổ đỏ mới nhất như sau:
[1] Thẩm quyền cấp Giấy chứng nhận quyền sử dụng đất, quyền sở hữu tài sản gắn liền với đất lần đầu đối với các trường hợp đăng ký lần đầu mà có nhu cầu cấp Giấy chứng nhận quyền sử dụng đất, quyền sở hữu tài sản gắn liền với đất và trường hợp quy định tại điểm b khoản 7 Điều 219 Luật Đất đai 2024 được quy định như sau:
- Ủy ban nhân dân cấp tỉnh cấp Giấy chứng nhận quyền sử dụng đất, quyền sở hữu tài sản gắn liền với đất cho người sử dụng đất, chủ sở hữu tài sản gắn liền với đất quy định tại các khoản 1, 2, 5, 6 và 7 Điều 4 Luật Đất đai 2024.
Ủy ban nhân dân cấp tỉnh được ủy quyền cho cơ quan có chức năng quản lý đất đai cùng cấp cấp Giấy chứng nhận quyền sử dụng đất, quyền sở hữu tài sản gắn liền với đất đối với trường hợp quy định tại đây;
- Ủy ban nhân dân cấp huyện cấp Giấy chứng nhận quyền sử dụng đất, quyền sở hữu tài sản gắn liền với đất cho người sử dụng đất, chủ sở hữu tài sản gắn liền với đất quy định tại khoản 3 và khoản 4 Điều 4 Luật Đất đai 2024.
Theo điểm h khoản 1 Điều 5 Nghị định 151/2025/NĐ-CP, thẩm quyền cấp Giấy chứng nhận quyền sử dụng đất, quyền sở hữu tài sản gắn liền với đất quy định tại điểm b khoản 1 Điều 136 và điểm d khoản 2 Điều 142 Luật Đất đai 2024 do Ủy ban nhân dân cấp huyện thực hiện sẽ chuyển giao cho Chủ tịch Ủy ban nhân dân cấp xã từ ngày 01/7/2025. |
[2] Thẩm quyền cấp Giấy chứng nhận quyền sử dụng đất, quyền sở hữu tài sản gắn liền với đất, xác nhận thay đổi đối với trường hợp đăng ký biến động được quy định như sau:
- Tổ chức đăng ký đất đai thực hiện cho người sử dụng đất, chủ sở hữu tài sản gắn liền với đất là tổ chức trong nước, tổ chức tôn giáo, tổ chức tôn giáo trực thuộc, tổ chức nước ngoài có chức năng ngoại giao, tổ chức kinh tế có vốn đầu tư nước ngoài; cấp Giấy chứng nhận quyền sử dụng đất, quyền sở hữu tài sản gắn liền với đất cho chủ sở hữu tài sản gắn liền với đất là tổ chức nước ngoài, cá nhân nước ngoài;
- Chi nhánh của tổ chức đăng ký đất đai hoặc tổ chức đăng ký đất đai thực hiện cho người sử dụng đất, chủ sở hữu tài sản gắn liền với đất là cá nhân, cộng đồng dân cư, người gốc Việt Nam định cư ở nước ngoài;
- Tổ chức đăng ký đất đai, chi nhánh của tổ chức đăng ký đất đai được sử dụng con dấu của mình để thực hiện cấp Giấy chứng nhận quyền sử dụng đất, quyền sở hữu tài sản gắn liền với đất hoặc xác nhận thay đổi vào giấy chứng nhận đã cấp.
