Danh sách 475 căn hộ Khu đô thị Eco Retreat Long An đủ điều kiện mở bán (Dự án thành phần 9 và Dự án thành phần 6-1)

Tại Công văn 2064/SXD-NBĐS ngày 11/9/2025 có nêu danh sách 475 căn hộ Khu đô thị Eco Retreat Long An đủ điều kiện mở bán (Dự án thành phần 9 và Dự án thành phần 6-1).

Mua bán Căn hộ chung cư tại Huyện Bến Lức

Xem thêm Mua bán Căn hộ chung cư tại Huyện Bến Lức

Nội dung chính

    Danh sách 475 căn hộ Khu đô thị Eco Retreat Long An đủ điều kiện mở bán (Dự án thành phần 9 và Dự án thành phần 6-1)

    Ngày 11/9/2025, Sở Xây dựng tỉnh Tây Ninh đã có Công văn 2064/SXD-NBĐS về việc thông báo nhà ở hình thành trong tương lai đủ điều kiện được bán của Dự án thành phần 9, Dự án thành phần 6-1 thuộc dự án Khu đô thị sinh thái, thương mại du lịch (Khu đô thị Eco Retreat Long An), xã Thanh Phú, huyện Bến Lức, tỉnh Long An (nay là xã Bến Lức, tỉnh Tây Ninh) (475 căn).

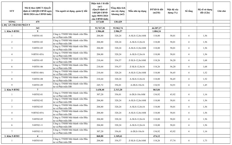
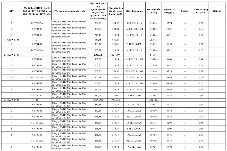
    Cụ thể, tại Mục III Công văn 2064/SXD-NBĐS 2025 có nêu thông tin 475 căn hộ Khu đô thị Eco Retreat Long An đủ điều kiện mở bán (Dự án thành phần 9 và Dự án thành phần 6-1) cụ thể như sau:

    - Số lượng: 475 căn nhà.

    + Dự án thành phần 9: 343 căn;

    + Dự án thành phần 6-1: 132 căn;

    - Diện tích đất: 117.640 m2 .

    - Tổng diện tích sàn: 130.429 m2 .

    (...)

    >> Xem đầy đủ: Danh sách 475 căn hộ Khu đô thị Eco Retreat Long An đủ điều kiện mở bán (Dự án thành phần 9 và Dự án thành phần 6-1)

    Danh sách 475 căn hộ Khu đô thị Eco Retreat Long An đủ điều kiện mở bán (Dự án thành phần 9 và Dự án thành phần 6-1)

    Danh sách 475 căn hộ Khu đô thị Eco Retreat Long An đủ điều kiện mở bán (Dự án thành phần 9 và Dự án thành phần 6-1) (Hình từ Internet)

    Thông tin dự án Khu đô thị Eco Retreat Long An

    Căn cứ tại Mục I Công văn 2064/SXD-NBĐS 2025 có nêu một số thông tin dự án Khu đô thị Eco Retreat Long An như sau:

    (1) Tên dự án: Khu đô thị sinh thái, thương mại du lịch. (Khu đô thị Eco Retreat Long An)

    (2) Tên khu vực trong dự án: Dự án thành phần 6-1; Dự án thành phần 9.

    (3) Địa điểm dự án: Xã Thanh Phú, huyện Bến Lức, tỉnh Long An (nay là xã Bến Lức, tỉnh Tây Ninh).

    (4) Tên chủ đầu tư: Liên danh Công ty TNHH Một thành viên Đầu tư và Phát triển DB - Công ty Cổ phần Tập đoàn Ecopark. 

    (5) Quy mô dự án:

    - Diện tích sử dụng đất khoảng: 219,50 ha.

    - Tổng số lượng căn nhà: 7.427 căn nhà (trong đó: Nhà chung cư hỗn hợp 3.500 căn hộ theo Quyết định số 148/QĐ-UBND ngày 08/01/2024 của UBND tỉnh Long An).

    (6) Số căn nhà đủ điều kiện bán nhà ở hình thành trong tương lai (đợt 3): 475 căn nhà tại Dự án thành phần 9: 343 căn, Dự án thành phần 6-1: 132 căn, thuộc Khu đô thị sinh thái, thương mại du lịch, xã Bến Lức, tỉnh Tây Ninh.

    Quy định về việc bàn giao nhà ở, công trình xây dựng hình thành trong tương lai hiện nay như thế nào?

    Căn cứ tại 27 Luật Kinh doanh bất động sản 2023 quy định về việc bàn giao nhà ở, công trình xây dựng hình thành trong tương lai như sau:

    (1) Việc bàn giao nhà ở thực hiện theo quy định của pháp luật về nhà ở.

    (2) Chủ đầu tư dự án bất động sản bàn giao công trình xây dựng, phần diện tích sàn xây dựng trong công trình xây dựng cho bên mua, thuê mua theo đúng hợp đồng đã ký kết và bảo đảm các nguyên tắc sau đây:

    - Công trình xây dựng đã được nghiệm thu, kiểm tra công tác nghiệm thu đưa vào khai thác, sử dụng theo quy định của pháp luật về xây dựng;

    - Việc bàn giao công trình xây dựng, phần diện tích sàn xây dựng trong công trình xây dựng được lập thành văn bản;

    - Điều kiện, trình tự, thủ tục bàn giao và thẩm quyền thực hiện bàn giao công trình xây dựng thực hiện theo quy định của pháp luật về xây dựng.

    (3) Bên mua, thuê mua công trình xây dựng, phần diện tích sàn xây dựng trong công trình xây dựng trực tiếp nhận bàn giao công trình xây dựng, phần diện tích sàn xây dựng trong công trình xây dựng hoặc ủy quyền bằng văn bản theo quy định của Bộ luật Dân sự 2015 cho người đại diện để nhận bàn giao công trình xây dựng, phần diện tích sàn xây dựng trong công trình xây dựng.

    saved-content
    unsaved-content
    1