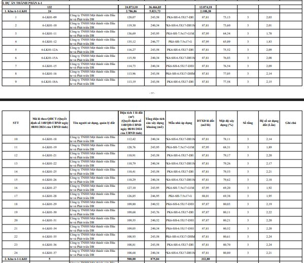
Danh sách 132 căn hộ mở bán tại Khu đô thị Eco Retreat Long An (dự án thành phần 6-1)
Mua bán Căn hộ chung cư tại Huyện Bến Lức
Nội dung chính
Danh sách 132 căn hộ mở bán tại Khu đô thị Eco Retreat Long An (dự án thành phần 6-1)
Ngày 11/9/2025, Sở Xây dựng tỉnh Tây Ninh đã có Công văn 2064/SXD-NBĐS về việc thông báo nhà ở hình thành trong tương lai đủ điều kiện được bán của Dự án thành phần 9, Dự án thành phần 6-1 thuộc dự án Khu đô thị sinh thái, thương mại du lịch (Khu đô thị Eco Retreat Long An), xã Thanh Phú, huyện Bến Lức, tỉnh Long An (nay là xã Bến Lức, tỉnh Tây Ninh) (475 căn).
Cụ thể, tại Mục III Công văn 2064/SXD-NBĐS 2025 có nêu thông tin 475 căn hộ Khu đô thị Eco Retreat Long An đủ điều kiện mở bán bao gồm:
+ Dự án thành phần 9: 343 căn;
+ Dự án thành phần 6-1: 132 căn;
Theo đó, danh sách 132 căn hộ mở bán tại Khu đô thị Eco Retreat Long An (dự án thành phần 6-1) như sau:

> Xem chi tiết: Danh sách 132 căn hộ mở bán tại Khu đô thị Eco Retreat Long An (dự án thành phần 6-1)
Danh sách 132 căn hộ mở bán tại Khu đô thị Eco Retreat Long An (dự án thành phần 6-1) (Hình từ Internet)
Thủ tục thông báo 132 căn hộ mở bán tại Khu đô thị Eco Retreat Long An (dự án thành phần 6-1) đủ điều kiện được bán
Căn cứ tại Điều 8 Nghị định 96/2024/NĐ-CP thủ tục thông báo 132 căn hộ mở bán tại Khu đô thị Eco Retreat Long An (dự án thành phần 6-1) đủ điều kiện được bán như sau:
1. Trước khi thực hiện ký hợp đồng bán, cho thuê mua nhà ở hình thành trong tương lai, chủ đầu tư dự án phải có văn bản thông báo gửi cơ quan quản lý nhà nước về kinh doanh bất động sản cấp tỉnh nơi có dự án về việc nhà ở hình thành trong tương lai đủ điều kiện được bán, cho thuê mua kèm theo 01 bộ hồ sơ quy định tại khoản 2 Điều 8 Nghị định 96/2024/NĐ-CP.
Văn bản thông báo của chủ đầu tư dự án gửi cơ quan quản lý nhà nước về kinh doanh bất động sản cấp tỉnh về nhà ở đủ điều kiện được bán, cho thuê mua phải có các nội dung quy định tại Phụ lục XV ban hành kèm theo Nghị định 96/2024/NĐ-CP.
2. Hồ sơ gồm bản sao và xuất trình bản chính để đối chiếu hoặc bản sao điện tử có giá trị pháp lý hoặc bản sao được chứng thực của các giấy tờ sau:
- Các giấy tờ theo quy định tại khoản 2 và điểm a, điểm b khoản 3 Điều 24 Luật Kinh doanh bất động sản 2023;
- Biên bản nghiệm thu việc đã hoàn thành xây dựng cơ sở hạ tầng kỹ thuật của dự án tương ứng theo tiến độ của dự án được chấp thuận, phê duyệt theo quy định của pháp luật về xây dựng.
Trường hợp là nhà chung cư, tòa nhà hỗn hợp có nhà ở phải có biên bản nghiệm thu việc đã hoàn thành thi công xây dựng phần móng theo quy định của pháp luật về xây dựng.
3. Trường hợp chủ đầu tư dự án đầu tư xây dựng nhà ở đã thế chấp nhà ở hình thành trong tương lai hoặc một phần dự án hoặc toàn bộ dự án thì việc xác định nhà ở đã được giải chấp thực hiện theo quy định tại khoản 2 Điều 183 Luật Nhà ở 2023.
4. Trong thời hạn 15 ngày kể từ ngày nhận được văn bản thông báo kèm theo hồ sơ quy định tại khoản 1 và khoản 2 Điều 8 Nghị định 96/2024/NĐ-CP, cơ quan quản lý nhà nước về kinh doanh bất động sản cấp tỉnh có trách nhiệm kiểm tra về điều kiện của nhà ở hình thành trong tương lai của dự án bất động sản đưa vào kinh doanh theo quy định của Luật Kinh doanh bất động sản 2023 và trả lời bằng văn bản cho chủ đầu tư về nhà ở đủ điều kiện được bán, cho thuê mua, trường hợp không đủ điều kiện bán, cho thuê mua phải nêu rõ lý do; đồng thời đăng tải văn bản trả lời trên cổng thông tin về nhà ở và trị trường bất động sản.
Văn bản trả lời của cơ quan quản lý nhà nước về kinh doanh bất động sản cấp tỉnh gửi cho chủ đầu tư về nhà ở đủ điều kiện được bán, cho thuê mua phải có các nội dung quy định tại Phụ lục XVI ban hành kèm theo Nghị định 96/2024/NĐ-CP.
Trường hợp cơ quan quản lý nhà nước về kinh doanh bất động sản cấp tỉnh không trả lời theo thời hạn quy định thì doanh nghiệp có quyền khởi kiện, khiếu nại theo quy định pháp luật.
Thông tin về nhà ở, công trình xây dựng hình thành trong tương lai bao gồm những nội dung gì?
Căn cứ tại khoản 3 Điều 6 Luật Kinh doanh bất động sản 2023 quy định thông tin về nhà ở, công trình xây dựng hình thành trong tương lai bao gồm:
(1) Loại bất động sản; vị trí, quy mô, tiến độ xây dựng, công năng sử dụng của bất động sản; thông tin về phần diện tích sử dụng chung đối với bất động sản là nhà chung cư, công trình xây dựng, tòa nhà hỗn hợp nhiều mục đích sử dụng;
(2) Thiết kế cơ sở trong báo cáo nghiên cứu khả thi đầu tư xây dựng đã được thẩm định theo quy định của pháp luật về xây dựng; giấy phép xây dựng đối với trường hợp phải cấp giấy phép xây dựng; thông báo khởi công xây dựng công trình; giấy tờ về nghiệm thu việc đã hoàn thành xây dựng cơ sở hạ tầng kỹ thuật theo quy định của pháp luật về xây dựng tương ứng theo tiến độ dự án; giấy tờ chứng minh đã được nghiệm thu hoàn thành xây dựng phần móng theo quy định của pháp luật về xây dựng đối với trường hợp là nhà chung cư, tòa nhà hỗn hợp có nhà ở;
(3) Giấy tờ về quyền sử dụng đất quy định tại khoản 2 Điều 24 Luật Kinh doanh bất động sản 2023;
(4) Thỏa thuận cấp bảo lãnh trong bán, cho thuê mua nhà ở hình thành trong tương lai;
(5) Văn bản của cơ quan nhà nước có thẩm quyền về nhà ở hình thành trong tương lai đủ điều kiện được bán, cho thuê mua;
(6) Các hạn chế về quyền sở hữu, quyền sử dụng bất động sản (nếu có); việc thế chấp nhà ở, công trình xây dựng, phần diện tích sàn xây dựng trong công trình xây dựng, quyền sử dụng đất, dự án bất động sản đưa vào kinh doanh.
