Chi tiết bảng giá nhà ở xã hội An Trung 2 Đà Nẵng khối nhà A, B? Nhà ở xã hội An Trung 2 Đà Nẵng giá bao nhiêu?
Nội dung chính
Chi tiết bảng giá nhà ở xã hội An Trung 2 Đà Nẵng khối nhà A, B? Nhà ở xã hội An Trung 2 Đà Nẵng giá bao nhiêu?
Theo Thông báo 4229/TB-SXD năm 2025 của Sở Xây dựng TP Đà Nẵng, ngày 27/5/2025, nhà ở xã hội tại khối nhà A và B của dự án chung cư cho người thu nhập thấp An Trung 2, nằm tại phường An Hải Nam, quận Sơn Trà, TP Đà Nẵng chính thức thức được mở bán.
Có 633 căn hộ được phép bán ra trong đợt mở bán này (khối nhà A: 288 căn hộ, khối nhà B: 345 căn hộ). Giá các căn hộ này là: 16.207.395 đồng/m2 (đã bao gồm lợi nhuận và thuế GTGT, chưa bao gồm hệ số tầng K và chi phí bảo trì 2%).
Hộ gia đình, cá nhân có nhu cầu đăng ký mua nhà ở xã hội liên hệ trực tiếp chủ đầu tư là Liên danh Công ty Cổ phần Đức Mạnh và Công ty Cổ phần Đầu tư và Xây dựng 579
Thời gian tiếp nhận hồ sơ đăng ký mua nhà ở xã hội An Trung 2 Đà Nẵng Từ ngày 30/6/2025 đến hết ngày 22/7/2025
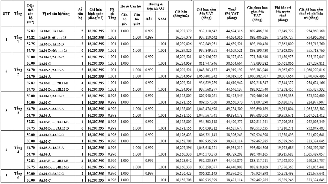
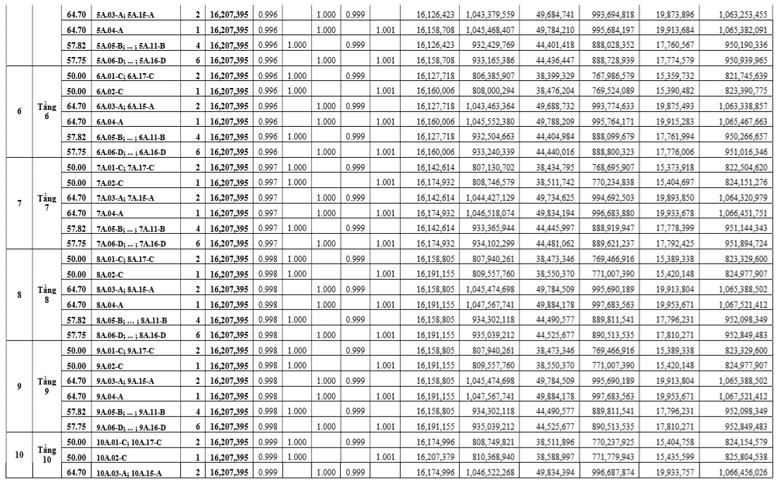
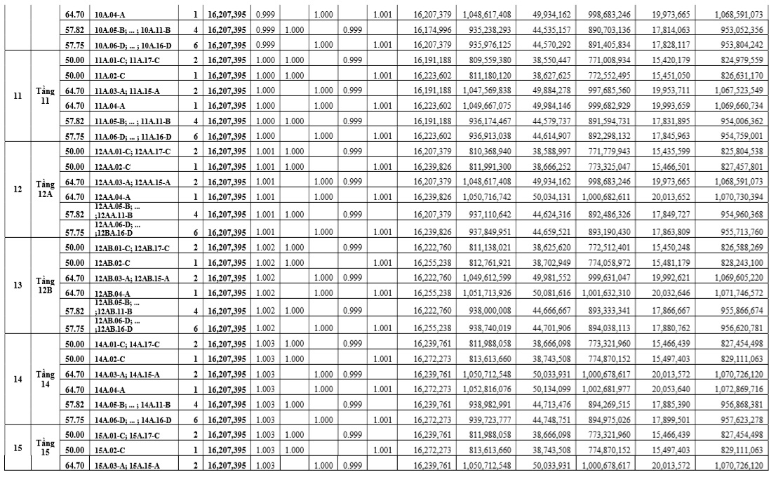
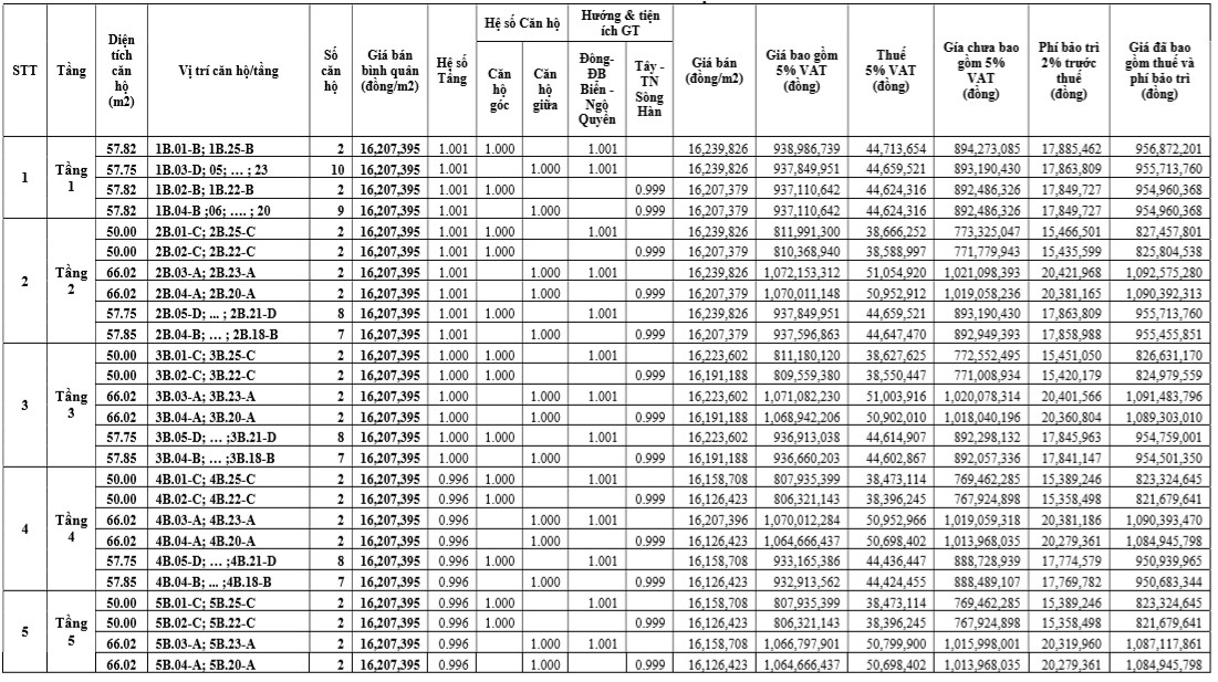
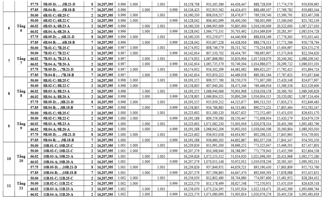
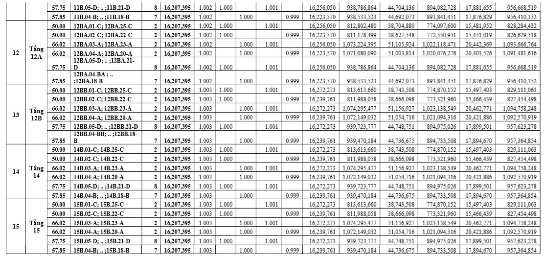
Chi tiết bảng giá nhà ở xã hội An Trung 2 Đà Nẵng khối nhà A Tải về




Chi tiết bảng giá nhà ở xã hội An Trung 2 Đà Nẵng khối nhà B Tải về




Chi tiết bảng giá nhà ở xã hội An Trung 2 Đà Nẵng khối nhà A, B? Nhà ở xã hội An Trung 2 Đà Nẵng giá bao nhiêu? (Hình từ Internet)
Điều kiện đăng ký mua nhà ở xã hội An Trung 2 Đà Nẵng
Điều kiện đăng ký mua nhà ở xã hội An Trung 2 Đà Nẵng được thực hiện theo quy định tại Luật Nhà ở 2023 và Nghị định 100/2024/NĐ-CP, cụ thể:
Điều kiện về nhà ở
Đối tượng quy định tại các khoản 1, 2, 3, 4, 5, 6, 7, 8, 9, 10 Điều 76 Luật Nhà ở 2023 phải đáp ứng đủ các điều kiện: chưa có nhà ở thuộc sở hữu của mình tại thành phố Đà Nẵng, chưa được mua hoặc thuê mua nhà ở xã hội, chưa được hưởng chính sách hỗ trợ nhà ở dưới mọi hình thức tại thành phố Đà Nẵng hoặc có nhà ở thuộc sở hữu của mình tại thành phố Đà Nẵng nhưng diện tích nhà ở bình quân đầu người thấp hơn 15m2 sàn/người; trường hợp thuộc đối tượng quy định tại các điểm b, c, d, đ, e, g khoản 1 Điều 45 Luật Nhà ở 2023 thì phải không đang ở nhà ở công vụ.
- Trường hợp chưa có nhà ở thuộc sở hữu của mình được xác định khi người đứng đơn và vợ hoặc chồng (nếu có) không có tên trong Giấy chứng nhận quyền sử dụng đất, quyền sở hữu tài sản gắn liền với đất tại thành phố Đà Nẵng tại thời điểm nộp hồ sơ đăng ký mua nhà ở xã hội.
- Trường hợp người đứng đơn có nhà ở thuộc sở hữu của mình nhưng diện tích nhà ở bình quân đầu người thấp hơn 15 m2 sàn/người. Diện tích nhà ở bình quân đầu người được xác định trên cơ sở bao gồm: người đứng đơn, vợ (chồng) của người đó, cha, mẹ (nếu có) và các con của người đó (nếu có) đăng ký thường trú tại căn nhà đó.
Điều kiện về thu nhập
Đối tượng quy định tại khoản 5, 6, 8 Điều 76 Luật Nhà ở 2023 thì phải đảm bảo điều kiện về thu nhập như sau:
- Trường hợp người đứng đơn là người độc thân thì có thu nhập hàng tháng thực nhận không quá 15 triệu đồng tính theo Bảng tiền công, tiền lương do cơ quan, đơn vị, doanh nghiệp nơi đối tượng làm việc xác nhận.
- Trường hợp người đứng đơn đã kết hôn theo quy định của pháp luật thì người đứng đơn và vợ (chồng) của người đó có tổng thu nhập hàng tháng thực nhận không quá 30 triệu đồng tính theo Bảng tiền công, tiền lương do cơ quan, đơn vị, doanh nghiệp nơi đối tượng làm việc xác nhận.
- Thời gian xác nhận điều kiện về thu nhập trong 01 năm liền kề, tính từ thời điểm nộp hồ sơ hợp lệ cho chủ đầu tư để đăng ký mua nhà ở xã hội.
Trường hợp đối tượng quy định tại khoản 5 Điều 76 Luật Nhà ở 2023 không có hợp đồng lao động: Nếu là người độc thân thì thu nhập hàng tháng thực nhận không quá 15 triệu đồng, nếu đã kết hôn theo quy định của pháp luật thì người đứng đơn và vợ (chồng) của người đó có tổng thu nhập hàng tháng thực nhận không quá 30 triệu đồng. UBND cấp xã thực hiện việc xác nhận điều kiện về thu nhập trong 01 năm liền kề, tính từ thời điểm nộp hồ sơ hợp lệ cho chủ đầu tư để đăng ký mua nhà ở xã hội.
Đối tượng quy định tại khoản 2, 3, 4 Điều 76 Luật Nhà ở 2023 thì phải thuộc trường hợp hộ gia đình nghèo, cận nghèo theo chuẩn nghèo của Chính phủ.
Đối tượng quy định tại khoản 7 Điều 76 Luật Nhà ở 2023 thì phải đảm bảo điều kiện về thu nhập như sau:
- Trường hợp người đứng đơn là người độc thân thì có thu nhập hàng tháng thực nhận không quá tổng thu nhập của sỹ quan có cấp bậc hàm Đại tá (gồm lương cơ bản và phụ cấp theo quy định) được cơ quan, đơn vị nơi công tác, quản lý xác nhận.
- Trường hợp người đứng đơn đã kết hôn theo quy định của pháp luật:
+ Người đứng đơn và vợ (chồng) của người đó đều thuộc đối tượng quy định tại khoản 7 Điều 76 Luật Nhà ở 2023 thì có tổng thu nhập hàng tháng thực nhận không quá 2,0 lần tổng thu nhập của sỹ quan có cấp bậc hàm Đại tá (gồm lương cơ bản và phụ cấp theo quy định) được cơ quan, đơn vị nơi công tác, quản lý xác nhận;
+ Vợ (chồng) của người đứng đơn không thuộc đối tượng quy định tại khoản 7 Điều 76 Luật Nhà ở 2023 ở thì có tổng thu nhập hàng tháng thực nhận không quá 1,5 lần tổng thu nhập của sỹ quan có cấp bậc hàm Đại tá (gồm lương cơ bản và phụ cấp theo quy định) được cơ quan, đơn vị, doanh nghiệp nơi đối tượng làm việc xác nhận. Trường hợp vợ (chồng) của người đứng đơn không có hợp đồng lao động thì UBND cấp xã thực hiện xác nhận điều kiện về thu nhập.
- Thời gian xác nhận điều kiện về thu nhập trong 01 năm liền kề, tính từ thời điểm nộp hồ sơ hợp lệ cho chủ đầu tư để đăng ký mua nhà ở xã hội.
Ai được đăng ký mua nhà ở xã hội An Trung 2 Đà Nẵng?
Để được đăng ký mua nhà ở xã hội An Trung 2 Đà Nẵng phải đáp ứng các điều kiện trên và thuộc các đối tượng quy định tại Điều 76 Luật Nhà ở 2023 sau:
- Người có công với cách mạng, thân nhân liệt sĩ thuộc trường hợp được hỗ trợ cải thiện nhà ở theo quy định của Pháp lệnh Ưu đãi người có công với cách mạng
- Hộ gia đình nghèo, cận nghèo tại khu vực nông thôn
- Hộ gia đình nghèo, cận nghèo tại khu vực nông thôn thuộc vùng thường xuyên bị ảnh hưởng bởi thiên tai, biến đổi khí hậu
- Hộ gia đình nghèo, cận nghèo tại khu vực đô thị
- Người thu nhập thấp tại khu vực đô thị
- Công nhân, người lao động đang làm việc tại doanh nghiệp, hợp tác xã, liên hiệp hợp tác xã trong và ngoài khu công nghiệp
- Sĩ quan, quân nhân chuyên nghiệp, hạ sĩ quan thuộc lực lượng vũ trang nhân dân, công nhân công an, công chức, công nhân và viên chức quốc phòng đang phục vụ tại ngũ; người làm công tác cơ yếu, người làm công tác khác trong tổ chức cơ yếu hưởng lương từ ngân sách nhà nước đang công tác
- Cán bộ, công chức, viên chức theo quy định của pháp luật về cán bộ, công chức, viên chức
- Đối tượng đã trả lại nhà ở công vụ theo quy định tại khoản 4 Điều 125 Luật Nhà ở 2023, trừ trường hợp bị thu hồi nhà ở công vụ do vi phạm quy định của Luật Nhà ở 2023
- Hộ gia đình, cá nhân thuộc trường hợp bị thu hồi đất và phải giải tỏa, phá dỡ nhà ở theo quy định của pháp luật mà chưa được Nhà nước bồi thường bằng nhà ở, đất ở
