Chi tiết giá bán từng căn hộ chung cư nhà ở xã hội Him Lam Central Park (Hải Phòng)

Tổng giám đốc Công ty cổ phần đầu tư Hồng Bàng đã có Quyết định 10/2025/QĐ-HB nêu chi tiết giá bán từng căn hộ chung cư nhà ở xã hội Him Lam Central Park (Hải Phòng).

Mua bán Nhà riêng tại Huyện An Dương

Xem thêm Mua bán Nhà riêng tại Huyện An Dương

Nội dung chính

    Chi tiết giá bán từng căn hộ chung cư nhà ở xã hội Him Lam Central Park (Hải Phòng)

    Ngày 02/10/2025, Tổng giám đốc Công ty cổ phần đầu tư Hồng Bàng đã có Quyết định 10/2025/QĐ-HB về việc phê duyệt giá bán căn hộ chung cư nhà ở xã hội dự án Khu nhà ở thương mại tại thôn Phạm Dùng, xã An Hồng, huyện An Dương (Him Lam Central Park).

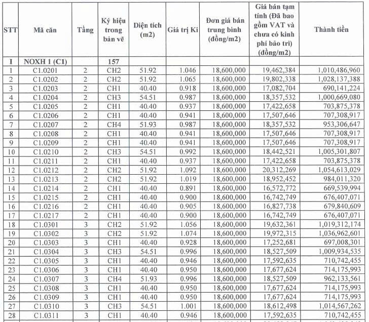
    Giá bán chi tiết từng căn hộ chung cư nhà ở xã hội Khu Him Lam Central Park được công bố tại Bảng giá chi tiết cho từng căn hộ kèm theo Quyết định 10/2025/QĐ-HB như sau:

    >> Xem đầy đủ Chi tiết giá bán từng căn hộ chung cư nhà ở xã hội Him Lam Central Park

    Chi tiết giá bán từng căn hộ chung cư nhà ở xã hội Him Lam Central Park (Hải Phòng) (Hình từ Internet)

    Số lượng căn hộ chung cư nhà ở xã hội Him Lam Central Park (Hải Phòng)

    Theo Mục I Công văn 7861/SXD-QLN năm 2025 của Sở Xây dựng thành phố Hải Phòng có nêu rõ số lượng căn hộ chung cư nhà ở xã hội Him Lam Central Park là 346 căn hộ chung cư.

    Quy định về chủ đầu tư dự án đầu tư xây dựng nhà ở xã hội hiện nay như thế nào?

    Căn cứ tại Điều 84 Luật Nhà ở 2023 quy định về chủ đầu tư dự án đầu tư xây dựng nhà ở xã hội như sau:

    (1) Đối với dự án đầu tư xây dựng nhà ở xã hội được đầu tư bằng nguồn vốn quy định tại khoản 1 Điều 113 Luật Nhà ở 2023 thì việc xác định chủ đầu tư dự án đầu tư xây dựng nhà ở xã hội thực hiện theo quy định của pháp luật về đầu tư công và pháp luật về xây dựng.

    Đối với dự án đầu tư xây dựng nhà ở xã hội thuộc thẩm quyền quyết định đầu tư của Chủ tịch Ủy ban nhân dân cấp tỉnh thì cơ quan quản lý nhà ở cấp tỉnh đề xuất chủ đầu tư theo quy định của pháp luật về đầu tư công và pháp luật về xây dựng.

    (2) Đối với dự án đầu tư xây dựng nhà ở xã hội được đầu tư bằng nguồn tài chính công đoàn thì việc xác định chủ đầu tư dự án đầu tư xây dựng nhà ở xã hội được thực hiện theo quy định áp dụng với dự án đầu tư công theo quy định của pháp luật về đầu tư công và pháp luật về xây dựng.

    (3) Trường hợp phải dành quỹ đất trong dự án đầu tư xây dựng nhà ở thương mại để đầu tư xây dựng nhà ở xã hội theo quy định tại khoản 2 và khoản 3 Điều 83 Luật Nhà ở 2023 thì giao chủ đầu tư dự án đầu tư xây dựng nhà ở thương mại trực tiếp đầu tư xây dựng nhà ở xã hội, trừ trường hợp Nhà nước sử dụng diện tích đất này để giao cho tổ chức khác thực hiện đầu tư xây dựng nhà ở xã hội.

    (4) Đối với dự án đầu tư xây dựng nhà ở xã hội được đầu tư không bằng nguồn vốn quy định tại mục (1) và (2) và không thuộc trường hợp chủ đầu tư dự án đầu tư xây dựng nhà ở thương mại trực tiếp đầu tư xây dựng nhà ở xã hội thì việc lựa chọn chủ đầu tư dự án đầu tư xây dựng nhà ở xã hội thực hiện như sau:

    - Trường hợp chỉ có 01 nhà đầu tư quan tâm theo quy định của pháp luật về đấu thầu, cơ quan có thẩm quyền thực hiện thủ tục chấp thuận nhà đầu tư làm chủ đầu tư dự án đầu tư xây dựng nhà ở xã hội khi nhà đầu tư đáp ứng các điều kiện, tiêu chí theo quy định của Chính phủ;

    - Trường hợp có từ 02 nhà đầu tư trở lên quan tâm thì thực hiện lựa chọn chủ đầu tư dự án đầu tư xây dựng nhà ở xã hội thông qua hình thức đấu thầu theo quy định của pháp luật về đấu thầu;

    - Được chấp thuận chủ trương đầu tư đồng thời chấp thuận nhà đầu tư làm chủ đầu tư dự án đầu tư xây dựng nhà ở xã hội khi nhà đầu tư có quyền sử dụng đất thông qua thỏa thuận về nhận quyền sử dụng đất đối với loại đất được thực hiện dự án đầu tư xây dựng nhà ở xã hội hoặc đang có quyền sử dụng đất đối với loại đất được thực hiện dự án đầu tư xây dựng nhà ở xã hội theo quy định Luật Đất đai 2024.

    (5) Chủ đầu tư dự án đầu tư xây dựng nhà ở xã hội quy định tại mục (3) và (4) có quyền quy định tại các khoản 1, 2, 3, 5, 6, 7 và 8 Điều 38, khoản 2 Điều 85 và khoản 2 Điều 88 Luật Nhà ở 2023.

    (6) Chủ đầu tư dự án đầu tư xây dựng nhà ở xã hội quy định tại mục (3) và (4) có nghĩa vụ quy định tại các khoản 1, 3, 5, 6, 8, 9, 10, 11 và 13 Điều 39, khoản 3 Điều 81, khoản 4 Điều 87 Luật Nhà ở 2023 và nghĩa vụ sau đây:

    - Ký quỹ hoặc phải có bảo lãnh ngân hàng về nghĩa vụ ký quỹ để thực hiện dự án theo quy định của pháp luật về đầu tư; bảo đảm năng lực tài chính để thực hiện dự án theo quy định của pháp luật;

    - Thực hiện đầy đủ cam kết trong hợp đồng kinh doanh sản phẩm của dự án; bảo đảm chất lượng công trình theo quy định của pháp luật về xây dựng; bàn giao nhà ở kèm theo các giấy tờ liên quan đến nhà ở giao dịch cho khách hàng và thực hiện giao dịch mua bán, cho thuê mua, cho thuê nhà ở theo đúng quy định Luật Nhà ở 2023, pháp luật về kinh doanh bất động sản và quy định khác của pháp luật có liên quan.

    saved-content
    unsaved-content
    1