Danh sách 19 dự án đường bộ cao tốc dự kiến triển khai giai đoạn 2026-2030
Mua bán Đất tại Hồ Chí Minh
Nội dung chính
Danh sách 19 dự án đường bộ cao tốc dự kiến triển khai giai đoạn 2026-2030
Bộ Xây dựng đã có Công văn 13039/BXD-KHTC ngày 07 tháng 11 năm 2025 về việc triển khai đầu tư xây dựng các dự án đường bộ cao tốc.
Đại hội đại biểu toàn quốc lần thứ XIII của Đảng đã thông qua Chiến lược phát triển kinh tế - xã hội 10 năm 2021 - 2030, trong đó xác định “xây dựng hệ thống kết cấu hạ tầng đồng bộ với một số công trình hiện đại. Tập trung đầu tư các dự án hạ tầng trọng điểm quốc gia, quy mô lớn, nhất là về giao thông” là một trong ba đột phá chiến lược để phát triển kinh tế - xã hội giai đoạn 2021 - 2030, với mục tiêu “Đến năm 2030, phấn đấu cả nước có khoảng 5.000 km đường bộ cao tốc”.
Triển khai mục tiêu nêu trên, Bộ Xây dựng có ý kiến như sau:
Để hoàn thành 5.000 km đường bộ cao tốc theo mục tiêu Nghị quyết Đại hội đại biểu toàn quốc lần thứ XIII; để đẩy mạnh phân cấp, phân quyền cho địa phương theo chủ trương của Đảng và Chính phủ, Bộ Xây dựng đề nghị xây dựng kế hoạch đầu tư công trung hạn giai đoạn 2026 - 2030, trong đó dự kiến đầu tư một số tuyến đường bộ cao tốc trên địa bàn các tỉnh, thành phố trực thuộc trung ương và phân cấp địa phương là cơ quan chủ quản để triển khai thực hiện.
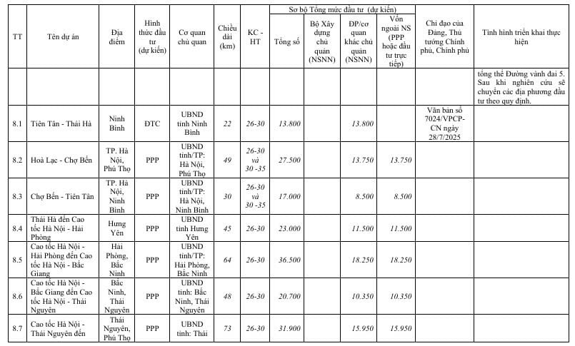
Danh mục 19 dự án đường bộ cao tốc dự kiến triển khai giai đoạn 2026-2030 bao gồm:







Trên đây là danh mục 19 dự án đường bộ cao tốc dự kiến triển khai giai đoạn 2026-2030

Danh sách 19 dự án đường bộ cao tốc dự kiến triển khai giai đoạn 2026-2030 (Hình từ Internet)
Hệ thống cao tốc kết nối TP HCM với các tỉnh lân cận gồm các tuyến nào?
Hệ thống cao tốc kết nối TP HCM với các tỉnh lân cận bao gồm các tuyến cao tốc: TPHCM – Long Thành – Dầu Giây, TPHCM – Trung Lương, Bến Lức – Long Thành, TPHCM – Mộc Bài và TPHCM – Chơn Thành.
Đây đều là những dự án then chốt giúp rút ngắn thời gian di chuyển, giảm tải cho các tuyến đường hiện hữu và mở rộng không gian phát triển vùng Đông Nam Bộ – Tây Nam Bộ.
[1] Cao tốc TP.HCM – Mộc Bài
Dự án TP.HCM Mộc Bài đã được UBND TP.HCM trình Thủ tướng phê duyệt chủ trương đầu tư theo hình thức PPP, hợp đồng BOT.
Chiều dài: khoảng 51 km
TP.HCM: 24,6 km
Tây Ninh: phần còn lại
Tổng mức đầu tư giai đoạn 1: hơn 19.600 tỷ đồng
Quy mô: 4 làn xe
Tốc độ thiết kế: 120 km/h
Tiến độ dự kiến:
2024–2025: lựa chọn nhà đầu tư & giải phóng mặt bằng
Khởi công muộn nhất: 30/4/2025
Hoàn thành: năm 2027
Tuyến đường khi hoàn thiện sẽ trở thành cửa ngõ giao thương quan trọng kết nối TP.HCM với Campuchia qua cửa khẩu Mộc Bài.
[2] Cao tốc TP.HCM – Chơn Thành
Tuyến TP.HCM – Thủ Dầu Một – Chơn Thành dài gần 55 km, đi qua TP.HCM, Bình Dương và Bình Phước. Mỗi địa phương là cơ quan chủ trì đoạn tuyến đi qua địa bàn.
Phân chia đầu tư từng đoạn
Bình Dương:
Chiều dài: 45,7 km
Vốn đầu tư: 17.400 tỷ đồng
Hình thức: BOT
Khởi công dự kiến: dịp 2/9 năm nay
Hoàn thành: 2027
Bình Phước:
Chiều dài: 6,6 km
Vốn: 1.474 tỷ đồng
Thời gian thực hiện: 2024–2026
TP.HCM:
Đoạn kết nối từ nút giao Gò Dưa – Vành đai 2 đến giáp Bình Dương
Chiều dài: 1,65 km, rộng 60 m
Quy hoạch thành đường dẫn cao tốc
Mức đầu tư: khoảng 2.000 tỷ đồng
Thời gian thực hiện: 2024–2028
[3] Cao tốc Bến Lức – Long Thành
Tuyến Bến Lức – Long Thành dài gần 58 km, kết nối Long An – TP.HCM – Đồng Nai.
Tổng vốn: khoảng 31.300 tỷ đồng
Quy mô giai đoạn 1: 4 làn xe, 2 làn dừng khẩn cấp
Tốc độ thiết kế: 100 km/h
Dự án giúp hoàn thiện trục liên kết Đông – Tây của vùng kinh tế trọng điểm phía Nam.
[4] Cao tốc TP.HCM – Long Thành – Dầu Giây
Đưa vào khai thác từ năm 2016, tuyến cao tốc dài 55 km với vốn đầu tư hơn 20.600 tỷ đồng.
Tuyến đường đóng vai trò then chốt trong việc kết nối TP.HCM với Đồng Nai, Bà Rịa – Vũng Tàu và khu vực Tây Nguyên. Tuy nhiên, sau nhiều năm vận hành, lưu lượng đã vượt thiết kế do chỉ có 4 làn xe.
Kế hoạch mở rộng
Mở rộng gần 40 km tuyến chính lên 8 làn xe, kèm 2 làn dừng khẩn cấp
Tổng mức đầu tư: gần 10.000 tỷ đồng
TP.HCM cũng dự kiến nâng cấp:
Bình Thuận – Chợ Đệm: 9,5 km
Tân Tạo – Chợ Đệm: 3,7 km
Mỗi tuyến mở rộng thêm 2 làn, hoàn thiện 6 làn cơ giới + 2 làn hỗn hợp.
Tổng vốn: khoảng 2.350 tỷ đồng
Thực hiện: giai đoạn 2024–2028
[5] Cao tốc TPHCM – Trung Lương
Cao tốc TPHCM Trung Lương là tuyến cao tốc đầu tiên của miền Nam, giữ vai trò cửa ngõ kết nối TP.HCM với các tỉnh Đồng bằng sông Cửu Long. Tuyến đường có tổng chiều dài gần 62 km, bao gồm 39,75 km đường cao tốc và 22,1 km đường nối.
Tuyến cao tốc được xây dựng với 4 làn xe và 2 làn dừng khẩn cấp, giúp rút ngắn đáng kể thời gian di chuyển từ TP.HCM về Tiền Giang và các tỉnh miền Tây, đồng thời giảm tải cho Quốc lộ 1 – tuyến đường vốn thường xuyên ùn tắc.
Chính sách phát triển đường cao tốc năm 2025
Chính sách phát triển đường cao tốc thực hiện theo quy định tại Điều 4 Luật Đường bộ 2024 cụ thể như sau:
(1) Chính sách phát triển kết cấu hạ tầng đường bộ bao gồm 03 nội dung sau:
- Tập trung các nguồn lực phát triển kết cấu hạ tầng đường bộ hiện đại, thích ứng với biến đổi khí hậu, thân thiện với môi trường; kết nối đồng bộ các tuyến đường bộ, các phương thức vận tải khác với vận tải đường bộ.
- Xây dựng cơ chế đẩy mạnh huy động các nguồn lực xã hội, đa dạng các hình thức, phương thức đầu tư, xây dựng, quản lý, vận hành, khai thác, bảo trì kết cấu hạ tầng đường bộ.
- Ưu tiên phát triển các tuyến đường cao tốc, các công trình, dự án đường bộ trọng điểm kết nối vùng, khu vực, đô thị lớn, trung tâm trong nước và quốc tế; kết cấu hạ tầng đường bộ vùng đồng bào dân tộc thiểu số, miền núi, hải đảo, biên giới; kết cấu hạ tầng đường bộ dễ tiếp cận và bảo đảm an toàn cho các đối tượng dễ bị tổn thương; kết cấu hạ tầng đường bộ tại các đô thị để giảm ùn tắc giao thông; các tuyến đường tuần tra biên giới, đường ven biển để phục vụ mục tiêu kết hợp phát triển kinh tế - xã hội với bảo đảm quốc phòng, an ninh.
(2) Phát triển hợp lý các loại hình kinh doanh vận tải; tạo môi trường cạnh tranh lành mạnh giữa các loại hình kinh doanh vận tải bằng xe ô tô; phát triển giao thông thông minh; ưu tiên phát triển vận tải hành khách công cộng bằng xe buýt và các phương tiện vận tải khác.
(3) Khuyến khích, tạo điều kiện cho tổ chức, cá nhân Việt Nam và nước ngoài đầu tư, kinh doanh khai thác kết cấu hạ tầng đường bộ và hoạt động vận tải đường bộ; nghiên cứu, ứng dụng khoa học, công nghệ tiên tiến, vật liệu bền vững, thân thiện với môi trường và đào tạo nguồn nhân lực trong lĩnh vực đường bộ.
Đồng thời, Điều 46 Luật Đường bộ 2024 quy định chính sách phát triển đường cao tốc thực hiện theo quy định tại Điều 4 Luật Đường bộ 2024 và các quy định sau đây:
(1) Nhà nước khuyến khích tổ chức, cá nhân sử dụng các nguồn lực tham gia đầu tư, xây dựng, vận hành, khai thác và bảo trì công trình đường cao tốc theo phương thức đối tác công tư và hình thức khác theo quy định của pháp luật.
(2) Bảo đảm ưu tiên bố trí ngân sách nhà nước để đầu tư, xây dựng các dự án có yêu cầu bảo đảm quốc phòng, an ninh; dự án đi qua địa bàn có điều kiện kinh tế - xã hội khó khăn, điều kiện kinh tế - xã hội đặc biệt khó khăn; dự án kết nối tạo động lực phát triển kinh tế - xã hội và dự án khác không thu hút được nguồn vốn ngoài ngân sách.
(3) Nhà nước ưu tiên bố trí ngân sách nhà nước, nguồn lực khác trong các trường hợp sau đây:
- Thực hiện nghĩa vụ của Nhà nước theo quy định của pháp luật và hợp đồng dự án đầu tư theo phương thức đối tác công tư.
- Mở rộng, nâng cấp đường cao tốc đang đầu tư hoặc đã khai thác theo quy mô phân kỳ.

