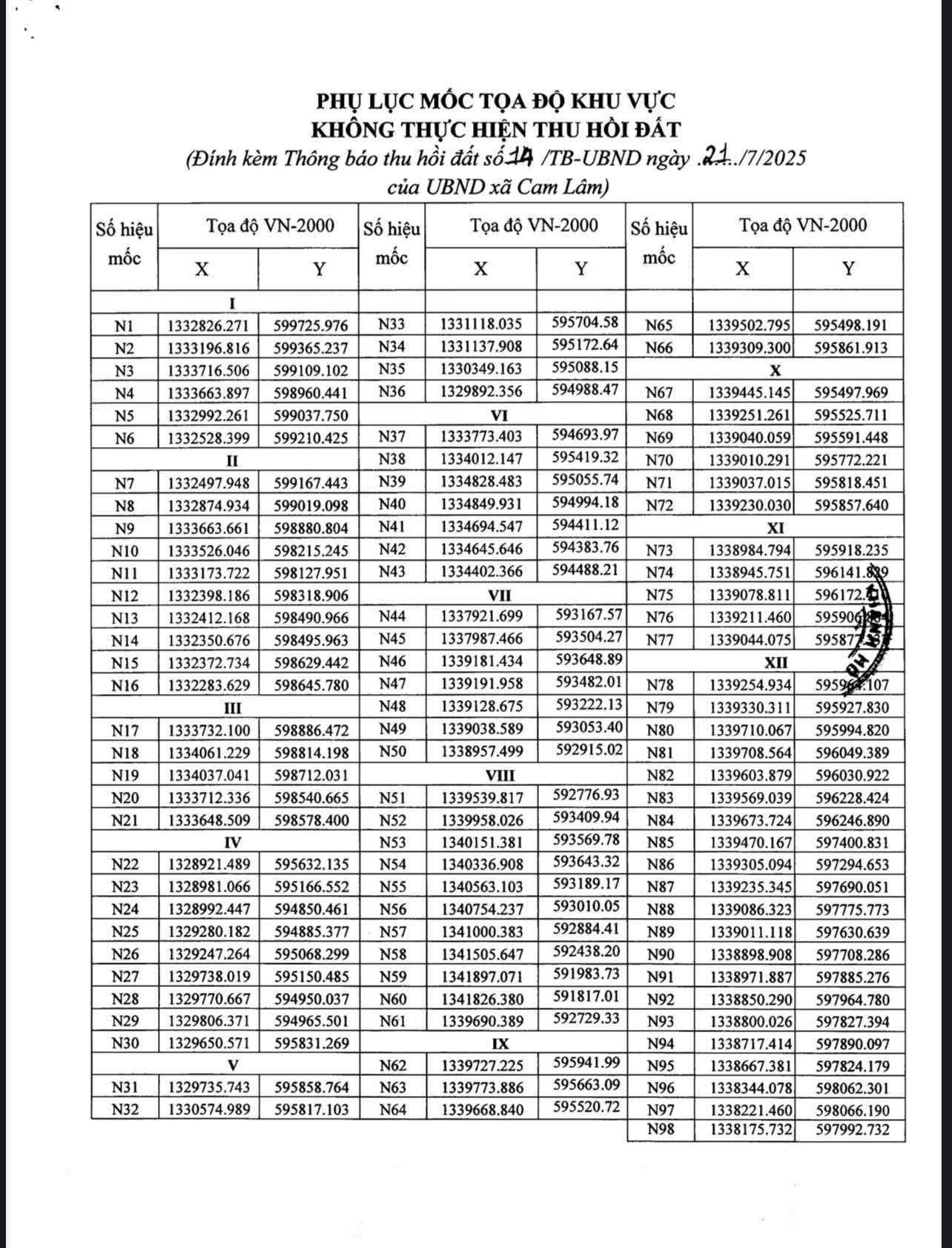
Phụ lục mốc tọa độ khu vực không thực hiện thu hồi đất làm dự án Khu đô thị mới Cam Lâm
Mua bán Đất tại Huyện Cam Lâm
Nội dung chính
Phụ lục mốc tọa độ khu vực không thực hiện thu hồi đất làm dự án Khu đô thị mới Cam Lâm
Ngày 21/7/2025, Ủy ban nhân dân xã Cam Lâm ban hành Thông báo 14/TB-UBND về việc thu hồi đất để thực hiện dự án Khu đô thị mới Cam Lâm. Cụ thể:
>>> Bản đồ quy hoạch Cam Lâm mới nhất 2025
Tổng diện tích thu hồi: 9,185.89 ha
Vị trí, ranh giới khu đất thu hồi: được xác định bởi các mốc tọa độ theo Sơ đồ vị trí số 01-2025/SĐ.TĐ do Công ty Cổ phần Trắc địa bản đồ Miền Trung và Tây Nguyên xác lập ngày 07/7/2025, được Sở Tài chính xác nhận ranh giới thực hiện dự án tại văn bản số 236/STC-ĐTNN5 ngày 11/7/2025.
UBND xã Cam Lâm không thực hiện thu hồi các khu đất được thể hiện trong Sơ đồ vị trí số 01-2025/SĐ.TĐ do Công ty Cổ phần Trắc địa bản đồ Miền Trung và Tây Nguyên xác lập ngày 07/7/2025, được Sở Tài chính xác nhận ranh giới thực hiện dự án tại văn bản số 236/STC-ĐTNN5 ngày 11/7/2025 (đính kèm Phụ lục mốc tọa độ khu vực không thực hiện thu hồi đất).
Sau 90 ngày đối với đất nông nghiệp và 180 ngày đối với đất phi nông nghiệp kể từ ngày người có đất bị thu hồi nhận được Thông báo thu hồi đất này.
>> Xem thêm: Tổng quan Khu đô thị mới Cam Lâm Cam Ranh Khánh Hòa
Dưới đây là phụ lục mốc tọa độ khu vực không thực hiện thu hồi đất làm dự án Khu đô thị mới Cam Lâm:

Trên đây là thông tin Phụ lục mốc tọa độ khu vực không thực hiện thu hồi đất làm dự án Khu đô thị mới Cam Lâm.

Phụ lục mốc tọa độ khu vực không thực hiện thu hồi đất làm dự án Khu đô thị mới Cam Lâm (Hình từ Internet)
Quy định về thu hồi đất làm dự án theo Luật Đất đai 2024 như thế nào?
Căn cứ Điều 79 Luật Đất đai 2024 có quy định về thu hồi đất làm dự án.
Theo đó, trong trường hợp thật cần thiết để thực hiện dự án phát triển kinh tế - xã hội vì lợi ích quốc gia, công cộng nhằm phát huy nguồn lực đất đai, nâng cao hiệu quả sử dụng đất, phát triển hạ tầng kinh tế - xã hội theo hướng hiện đại, thực hiện chính sách an sinh xã hội, bảo vệ môi trường và bảo tồn di sản văn hóa thì Nhà nước sẽ thực hiện việc thu hồi đất.
Cụ thể gồm có dự án sau:
(1) Xây dựng công trình giao thông
(2) Xây dựng công trình thủy lợi;
(3) Xây dựng công trình cấp nước, thoát nước;
(4) Xây dựng công trình xử lý chất thải;
(5) Xây dựng công trình năng lượng, chiếu sáng công cộng;
(6) Xây dựng công trình dầu khí;
(7) Xây dựng công trình hạ tầng bưu chính, viễn thông, công nghệ thông tin;
(8) Xây dựng chợ dân sinh, chợ đầu mối;
(9) Xây dựng công trình tín ngưỡng;
(10) Xây dựng công trình tôn giáo;
(11) Xây dựng khu vui chơi, giải trí công cộng, sinh hoạt cộng đồng;
(12) Xây dựng trụ sở cơ quan Đảng Cộng sản Việt Nam, cơ quan nhà nước, Mặt trận Tổ quốc Việt Nam, tổ chức chính trị - xã hội, tổ chức chính trị xã hội - nghề nghiệp, tổ chức xã hội - nghề nghiệp, tổ chức xã hội và tổ chức khác thành lập theo quy định của pháp luật được Nhà nước giao nhiệm vụ, hỗ trợ kinh phí hoạt động thường xuyên;
(13) Xây dựng trụ sở hoặc văn phòng đại diện của các đơn vị sự nghiệp công lập trực thuộc cơ quan Đảng Cộng sản Việt Nam, cơ quan nhà nước, tổ chức chính trị - xã hội;
(14) Xây dựng cơ sở văn hóa, di tích lịch sử - văn hóa, danh lam thắng cảnh;
(15) Xây dựng cơ sở y tế, cơ sở dịch vụ xã hội được Nhà nước thành lập hoặc cho phép hoạt động;
(16) Xây dựng cơ sở giáo dục, đào tạo được Nhà nước thành lập hoặc cho phép hoạt động;
(17) Xây dựng cơ sở thể dục, thể thao do Nhà nước thành lập hoặc cho phép hoạt động;
(18) Xây dựng cơ sở khoa học và công nghệ do Nhà nước thành lập hoặc cho phép hoạt động;
(19) Xây dựng cơ sở ngoại giao;
(20) Xây dựng công trình sự nghiệp về xử lý môi trường, bảo tồn đa dạng sinh học, khí tượng, thủy văn, đăng kiểm, kiểm dịch động vật, thực vật;
(21) Thực hiện dự án đầu tư xây dựng nhà ở xã hội, nhà ở cho lực lượng vũ trang nhân dân, trừ trường hợp thỏa thuận về nhận quyền sử dụng đất; dự án đầu tư xây dựng nhà ở công vụ; dự án đầu tư cải tạo, xây dựng lại nhà chung cư, trừ trường hợp chủ sở hữu nhà chung cư thỏa thuận chuyển nhượng quyền sử dụng đất cho chủ đầu tư để thực hiện dự án đầu tư cải tạo, xây dựng lại nhà chung cư theo quy định của Luật Nhà ở; dự án tái định cư;
(22) Thực hiện dự án khu công nghiệp, cụm công nghiệp; khu công nghệ cao; khu nông nghiệp ứng dụng công nghệ cao; khu công nghệ thông tin tập trung; khu lâm nghiệp ứng dụng công nghệ cao; khu phi thuế quan trong khu kinh tế;
(23) Thực hiện dự án khu sản xuất, chế biến nông sản, lâm sản, thủy sản, hải sản tập trung có quy mô lớn, tập trung đồng bộ về kết cấu hạ tầng dùng chung từ khâu sản xuất đến chế biến nông sản, lâm sản, thủy sản, hải sản phục vụ trên phạm vi liên huyện, liên tỉnh hoặc liên vùng; dự án trồng, bảo tồn gen cây thuốc để phát triển dược liệu y học cổ truyền;
(24)Thực hiện hoạt động lấn biển;
(25) Hoạt động khai thác khoáng sản đã được cơ quan nhà nước có thẩm quyền cấp phép, kể cả hạng mục công trình phục vụ cho việc khai thác, chế biến khoáng sản gắn với khu vực khai thác và hành lang bảo vệ an toàn cho việc khai thác mà phải thu hồi đất;
(26) Dự án vùng phụ cận các điểm kết nối giao thông và các tuyến giao thông có tiềm năng phát triển;
(27) Thực hiện dự án đầu tư xây dựng khu đô thị có công năng phục vụ hỗn hợp, đồng bộ hệ thống hạ tầng kỹ thuật, hạ tầng xã hội với nhà ở theo quy định của pháp luật về xây dựng để xây dựng mới hoặc cải tạo, chỉnh trang đô thị; dự án khu dân cư nông thôn;
(28) Nghĩa trang, nhà tang lễ, cơ sở hỏa táng, cơ sở lưu giữ tro cốt;
(29) Thực hiện dự án bố trí đất ở, đất sản xuất cho đồng bào dân tộc thiểu số để thực hiện chính sách đất đai đối với đồng bào dân tộc thiểu số theo quy định của Luật này;
(30) Xây dựng công trình trên mặt đất phục vụ cho việc vận hành, khai thác, sử dụng công trình ngầm;
(31) Thực hiện dự án đã được Quốc hội, Thủ tướng Chính phủ chấp thuận, quyết định chủ trương đầu tư theo quy định của pháp luật;
Trường hợp thu hồi đất để thực hiện dự án, công trình vì lợi ích quốc gia, công cộng không thuộc các trường hợp trên thì Quốc hội sửa đổi, bổ sung các trường hợp thu hồi đất theo trình tự, thủ tục rút gọn.
Chủ tịch UBND xã có thẩm quyền ra quyết định cưỡng chế thu hồi đất đúng không?
Căn cứ theo điểm d khoản 2 Điều 5 Nghị định 151/2025/NĐ-CP quy định về thẩm quyền của Chủ tịch UBND huyện chuyển giao cho Chủ tịch UBND xã như sau:
Điều 5. Thẩm quyền của Ủy ban nhân dân cấp huyện, Chủ tịch Ủy ban nhân dân cấp huyện chuyển giao cho Chủ tịch Ủy ban nhân dân cấp xã
[...]
2. Thẩm quyền của Chủ tịch Ủy ban nhân dân cấp huyện theo quy định của Luật Đất đai chuyển giao cho Chủ tịch Ủy ban nhân dân cấp xã thực hiện, cụ thể như sau:
a) Quyết định thành lập Hội đồng bồi thường, hỗ trợ, tái định cư đối với từng dự án quy định tại điểm c khoản 2 Điều 86 Luật Đất đai;
b) Ban hành quyết định kiểm đếm bắt buộc quy định tại điểm đ khoản 2 Điều 87 Luật Đất đai;
c) Ban hành quyết định cưỡng chế thực hiện quyết định kiểm đếm bắt buộc quy định tại khoản 3 Điều 88 Luật Đất đai;
d) Ban hành quyết định cưỡng chế thực hiện quyết định thu hồi đất quy định tại khoản 3 Điều 89 Luật Đất đai; ban hành quyết định thành lập Ban cưỡng chế thu hồi đất quy định tại điểm a khoản 4 Điều 89 Luật Đất đai;
[...]
Căn cứ theo khoản 3 Điều 89 Luật Đất đai 2024 quy định như sau:
Điều 89. Cưỡng chế thực hiện quyết định thu hồi đất
[...]
3. Chủ tịch Ủy ban nhân dân cấp huyện ban hành quyết định cưỡng chế thực hiện quyết định thu hồi đất và tổ chức thực hiện quyết định cưỡng chế.
Quyết định cưỡng chế phải được thi hành trong thời hạn 10 ngày kể từ ngày người bị cưỡng chế nhận được quyết định cưỡng chế hoặc kể từ ngày Ủy ban nhân dân cấp xã lập biên bản về việc người bị cưỡng chế vắng mặt hoặc người bị cưỡng chế từ chối nhận quyết định cưỡng chế, trừ trường hợp quyết định cưỡng chế quy định thời gian dài hơn.
[...]
Như vậy, từ ngày 01/7/2025, cấp huyện sẽ chính thức ngừng hoạt động theo mô hình chính quyền địa phương 2 cấp.
Khi đó, Chủ tịch UBND xã sẽ được trao thẩm quyền ra quyết định cưỡng chế thu hồi đất, thay vì Chủ tịch UBND huyện như trước đây.
