Khung giá cho thuê nhà lưu trú công nhân trong khu công nghiệp tại Thái Nguyên 2025?
Mua bán Căn hộ chung cư tại Thái Nguyên
Nội dung chính
Khung giá cho thuê nhà lưu trú công nhân trong khu công nghiệp tại Thái Nguyên 2025?
UBND tỉnh Thái Nguyên đã ban hành Quyết định 07/2025/QĐ-UBND về Ban hành khung giá cho thuê nhà ở xã hội; khung giá cho thuê nhà lưu trú công nhân trong khu công nghiệp; khung giá dịch vụ quản lý vận hành nhà chung cư trên địa bàn tỉnh Thái Nguyên.
Khung giá cho thuê nhà lưu trú công nhân trong khu công nghiệp tại Thái Nguyên 2025 được xác định như sau:
Khung giá cho thuê nhà lưu trú công nhân trong khu công nghiệp áp dụng trên địa bàn tỉnh Thái Nguyên là giá thuê tối đa cho 01 m² sàn diện tích sử dụng nhà lưu trú trong 01 tháng được xác định theo công thức:
Gt= Gt1 + Gt2
Trong đó:
- Gt: là giá thuê cho 01 m² sàn diện tích sử dụng nhà lưu trú trong 01 tháng.
- Gt1: là giá thuê tối đa cho 01 m² sàn diện tích sử dụng nhà lưu trú trong 01 tháng, không bao gồm chi phí bồi thường, hỗ trợ tái định cư được xác định tại Phụ lục II ban hành kèm theo Quyết định 07/2025/QĐ-UBND cụ thể:
Ghi chú:
+ Bao gồm: Toàn bộ chi phí theo quy định tại khoản 2 Điều 22 Nghị định 100/2024/NĐ-CP ngày 26 tháng 7 năm 2024 của Chính phủ, lợi nhuận định mức và chi phí bảo trì.
+ Không bao gồm: Thuế suất giá trị gia tăng; chi phí mua bảo hiểm cháy, nổ; chi phí trông giữ xe; chi phí sử dụng nhiên liệu, năng lượng, nước sinh hoạt; dịch vụ truyền hình, thông tin liên lạc và chi phí dịch vụ khác phục vụ cho việc sử dụng riêng của chủ sở hữu, người thuê nhà.
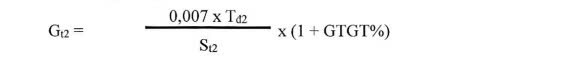
- Gt2: là chi phí bồi thường, hỗ trợ tái định cư phân bổ cho 01 m² sàn diện tích sử dụng nhà lưu trú trong 01 tháng (nếu có) được xác định tại Phụ lục II ban hành kèm theo Quyết định 07/2025/QĐ-UBND, cụ thể:
Trong đó:
+ Tđ2 là tổng chi phí bồi thường, hỗ trợ tái định cư (nếu có) phân bổ cho phần diện tích nhà ở xã hội để cho thuê.
Tđ2 được xác định căn cứ theo đơn giá bồi thường, hỗ trợ tái định cư do cơ quan có thẩm quyền phê duyệt. Các trường hợp còn lại áp dụng theo đơn giá đất cùng loại trong bảng giá đất trên địa bàn tỉnh Thái Nguyên do cơ quan có thẩm quyền ban hành tại thời điểm xác định giá thuê.
+ St2: tổng diện tích sử dụng nhà ở xã hội cho thuê.
+ GTGT: Thuế giá trị gia tăng xác định theo quy định của pháp luật về thuế.

Khung giá cho thuê nhà lưu trú công nhân trong khu công nghiệp tại Thái Nguyên 2025? (Hình từ internet)
Nhà lưu trú công nhân trong khu công nghiệp có phải loại hình nhà ở phát triển theo dự án đầu tư xây dựng không?
Căn cứ theo Điều 31 Luật Nhà ở 2023 quy định về các loại hình nhà ở phát triển theo dự án đầu tư xây dựng nhà ở và tiêu chuẩn diện tích nhà ở quy định:
Điều 31. Các loại hình nhà ở phát triển theo dự án đầu tư xây dựng nhà ở và tiêu chuẩn diện tích nhà ở
1. Các loại hình nhà ở phát triển theo dự án đầu tư xây dựng nhà ở bao gồm:
a) Phát triển nhà ở thương mại;
b) Phát triển nhà ở xã hội, nhà lưu trú công nhân trong khu công nghiệp, nhà ở cho lực lượng vũ trang nhân dân;
c) Phát triển nhà ở công vụ;
d) Phát triển nhà ở phục vụ tái định cư;
đ) Cải tạo, xây dựng lại nhà chung cư;
e) Phát triển các loại nhà ở hỗn hợp quy định tại khoản này theo quy định của Luật này.
2. Nhà ở được thiết kế, xây dựng theo quy định của Luật này và phải phù hợp với tiêu chuẩn, quy chuẩn xây dựng; đối với căn hộ chung cư thì phải thiết kế, xây dựng khép kín, có diện tích sàn căn hộ không thấp hơn diện tích theo quy chuẩn kỹ thuật quốc gia về nhà chung cư; đối với khu vực nông thôn, việc xây dựng nhà ở còn phải phù hợp với phong tục, tập quán, kiến trúc nhà ở nông thôn theo từng vùng, miền, phải bao gồm các công trình phụ trợ phục vụ nhu cầu sinh hoạt, sản xuất của gia đình, cá nhân.
Như vậy, nhà lưu trú công nhân trong khu công nghiệp là một loại hình nhà ở phát triển theo dự án đầu tư xây dựng nhà ở.
Quỹ đất để phát triển nhà nhà lưu trú công nhân trong khu công nghiệp quy định ra sao?
Theo Điều 32 Luật Nhà ở 2023 quy định về quỹ đất để phát triển nhà nhà lưu trú công nhân trong khu công nghiệp như sau:
(1) Diện tích đất để phát triển nhà ở phải được xác định trong quy hoạch đô thị, quy hoạch xây dựng khu công nghiệp, quy hoạch xây dựng cơ sở giáo dục đại học, quy hoạch xây dựng khác theo quy định của pháp luật về quy hoạch, pháp luật về quy hoạch đô thị, pháp luật về xây dựng và quy định khác của pháp luật có liên quan.
(2) Việc bố trí diện tích đất để phát triển nhà ở phải phù hợp với quy hoạch sử dụng đất, kế hoạch sử dụng đất, nhu cầu diện tích đất để phát triển nhà ở trên địa bàn trong chương trình, kế hoạch phát triển nhà ở cấp tỉnh đã được phê duyệt, tuân thủ quy định của Luật này và pháp luật về đất đai.
(3) Việc bố trí diện tích đất để phát triển nhà ở thương mại, nhà ở công vụ, nhà ở phục vụ tái định cư phải tuân thủ quy định tại khoản (1) và khoản (2), quy định tại các mục 2, 3 và 4 Chương IV Luật Nhà ở 2023.
(4) Việc bố trí diện tích đất để phát triển nhà ở xã hội, nhà lưu trú công nhân trong khu công nghiệp, nhà ở cho lực lượng vũ trang nhân dân phải tuân thủ quy định tại khoản (1) và khoản (2) và quy định tại Chương VI Luật Nhà ở 2023.
