17:21 - 22/08/2025

Quy hoạch Khu đô thị hỗn hợp thành phố Nha Trang (Sun Group Nha Trang) chi tiết tỷ lệ 1/500

Quy hoạch Khu đô thị hỗn hợp thành phố Nha Trang (Sun Group Nha Trang) chi tiết tỷ lệ 1/500? Bảng thống kê chi tiết sử dụng đất Khu đô thị hỗn hợp thành phố Nha Trang

Mua bán Nhà mặt phố tại Khánh Hòa

Xem thêm Mua bán Nhà mặt phố tại Khánh Hòa

Nội dung chính

    Quy hoạch Khu đô thị hỗn hợp thành phố Nha Trang (Sun Group Nha Trang) chi tiết tỷ lệ 1/500

    Ngày 16 tháng 6 năm 2025, Ủy ban nhân dân thành phố Nha Trang đã ban hành Quyết định 456/QĐ-UBND về việc phê duyệt Đồ án Quy hoạch chi tiết (tỷ lệ 1/500) Khu đô thị hỗn hợp thành phố Nha Trang.

    Cụ thể, phê duyệt đồ án Quy hoạch chi tiết (tỷ lệ 1/500) Khu đô thị hỗn hợp thành phố Nha Trang, xã Vĩnh Thái và phường Phước Long, thành phố Nha Trang với các nội dung chính như sau:

    (1) Tên đồ án: Quy hoạch chi tiết (tỷ lệ 1/500) Khu đô thị hỗn hợp thành phố Nha Trang.

    (2) Địa điểm: xã Vĩnh Thái và phường Phước Long, thành phố Nha Trang.

    (3) Phạm vi ranh giới và diện tích nghiên cứu lập quy hoạch

    Ranh giới khu vực lập quy hoạch có giới cận như sau:

    Phía Đông: giáp Sông Quán Trường;

    Phía Tây: giáp sông Tắc, đường số 20 rộng 32m, Khu C và Khu D của đồ án Điều chỉnh QHPK Khu đô thị – Công viên – Trung tâm hành chính mới tỉnh Khánh Hòa;

    Phía Nam: giáp sông Tắc;

    Phía Bắc: giáp các đường các tuyến đường quy hoạch số 22 rộng 35m, số 8 rộng 20m và Đỗ trọng 14m của đồ án Điều chỉnh QHPK Khu đô thị – Công viên – Trung tâm hành chính mới tỉnh Khánh Hòa.

    Diện tích nghiên cứu lập quy hoạch: 226,71 ha (theo Bản đồ quy hoạch tổng mặt bằng sử dụng đất kèm theo).

    (4) Mục tiêu, tính chất khu vực lập quy hoạch

    Mục tiêu: Cụ thể hóa đồ án Điều chỉnh Quy hoạch phân khu (tỷ lệ 1/2000) Khu đô thị – Công viên – Trung tâm hành chính mới tỉnh Khánh Hòa, thành phố Nha Trang được UBND tỉnh Khánh Hòa phê duyệt tại Quyết định số 2462/QĐ-UBND ngày 20/9/2024.

    Tính chất: Là khu đô thị mới có công năng phục vụ hỗn hợp.

    (5) Dự báo dân số và số hộ khu vực lập quy hoạch

    Dự báo dân số đến năm 2035: 19.686 người.

    Dự báo quy mô dân số theo đất lập quy hoạch là 226,71 ha, trong đó diện tích đất nhà ở khoảng 30,83 ha.

    Quy hoạch Khu đô thị hỗn hợp thành phố Nha Trang (Sun Group Nha Trang) chi tiết tỷ lệ 1/500 (Hình từ Internet)

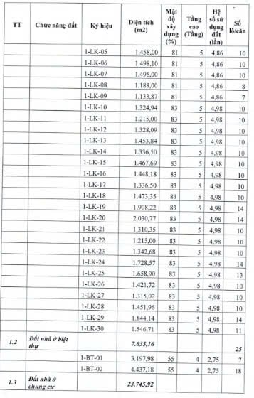
    Bảng thống kê chi tiết sử dụng đất Khu đô thị hỗn hợp thành phố Nha Trang

    Tại Quyết định 456/QĐ-UBND năm 2025 quy định như sau:

    ...

    >>Xem toàn bộ Bảng thống kê chi tiết sử dụng đất Khu đô thị hỗn hợp thành phố Nha Trang: TẠI ĐÂY

    Quy định quy hoạch tổng mặt bằng Khu đô thị hỗn hợp thành phố Nha Trang theo Nghị định 178 thế nào?

    Căn cứ Điều 10 Nghị định 178/2025/NĐ-CP quy định về quy hoạch tổng mặt bằng từ ngày 01/7/2025 như sau:

    (1) Quy hoạch tổng mặt bằng được lập trong giai đoạn chuẩn bị dự án và phải được cấp phê duyệt quy hoạch chi tiết hoặc cơ quan được phân cấp, ủy quyền chấp thuận bằng văn bản.

    (2) Việc điều chỉnh quy hoạch tổng mặt bằng phải bảo đảm về điều kiện điều chỉnh quy hoạch theo quy định tại Luật Quy hoạch đô thị và nông thôn 2024.

    (3) Lô đất thực hiện dự án đầu tư xây dựng đáp ứng đồng thời các điều kiện sau thì thực hiện việc lập, chấp thuận quy hoạch tổng mặt bằng:

    - Có quy mô sử dụng đất nhỏ hơn 02 ha đối với dự án đầu tư xây dựng nhà chung cư, khu chung cư; hoặc có quy mô sử dụng đất nhỏ hơn 10 ha đối với dự án đầu tư xây dựng nhà máy, xí nghiệp, cơ sở sản xuất công nghiệp, công trình hạ tầng kỹ thuật không theo tuyến được xác định theo quy hoạch chung hoặc quy hoạch chuyên ngành hạ tầng kỹ thuật hoặc quy hoạch tỉnh hoặc quy hoạch có tính chất kỹ thuật, chuyên ngành đã được phê duyệt; hoặc có quy mô sử dụng đất nhỏ hơn 05 ha đối với các trường hợp còn lại;

    - Trong khu vực đã có quy hoạch phân khu được phê duyệt hoặc trong khu vực đã có quy hoạch chung được phê duyệt đối với trường hợp không quy định lập quy hoạch phân khu;

    - Do một chủ đầu tư thực hiện đầu tư xây dựng hoặc do cơ quan nhà nước được giao thực hiện lập quy hoạch tổng mặt bằng.

    (4) Nội dung quy hoạch tổng mặt bằng:

    - Xác định yêu cầu về tổ chức không gian, kiến trúc cảnh quan, hạ tầng kỹ thuật đối với lô đất trên cơ sở phù hợp với quy hoạch phân khu hoặc quy hoạch chung đã được phê duyệt đối với trường hợp không quy định lập quy hoạch phân khu; các chỉ tiêu kinh tế - kỹ thuật, chỉ tiêu sử dụng đất quy hoạch phù hợp với quy chuẩn về quy hoạch đô thị và nông thôn và phù hợp với quy chuẩn, tiêu chuẩn chuyên ngành đối với dự án đầu tư xây dựng nhà máy, xí nghiệp, cơ sở sản xuất công nghiệp, công trình hạ tầng kỹ thuật;

    - Thể hiện vị trí quy mô công trình, hạng mục công trình trong lô đất; dự kiến hình thức kiến trúc công trình phù hợp với không gian kiến trúc cảnh quan khu vực xung quanh; phương án thiết kế hạ tầng kỹ thuật bảo đảm đấu nối đồng bộ với hệ thống hạ tầng của khu vực và phù hợp về không gian kiến trúc với khu vực xung quanh;

    - Bộ trưởng Bộ Xây dựng hướng dẫn về hồ sơ quy hoạch tổng mặt bằng.

    (5) Đối với dự án quốc phòng, an ninh cần bảo đảm bí mật nhà nước, việc áp dụng lập quy hoạch tổng mặt bằng thực hiện theo quy định, hướng dẫn của cơ quan, tổ chức, cá nhân được giao quản lý, thực hiện dự án cần bảo đảm bí mật nhà nước.

    (6) Chấp thuận quy hoạch tổng mặt bằng:

    - Cơ quan tổ chức lập quy hoạch tổng mặt bằng gửi văn bản kèm theo hồ sơ quy hoạch tổng mặt bằng đến cấp phê duyệt quy hoạch chi tiết hoặc cơ quan được phân cấp, ủy quyền để đề nghị chấp thuận;

    - Trước khi gửi hồ sơ đề nghị chấp thuận quy hoạch tổng mặt bằng, cơ quan tổ chức lập quy hoạch tổng mặt bằng phải thực hiện việc lấy ý kiến cộng đồng dân cư có liên quan (nếu có) về nội dung quy hoạch theo quy định tại Điều 37 Luật Quy hoạch đô thị và nông thôn 2024;

    - Cấp phê duyệt quy hoạch chi tiết hoặc cơ quan được phân cấp, ủy quyền xem xét, chấp thuận quy hoạch tổng mặt bằng, bảo đảm các yêu cầu tại (5). Thời gian cấp phê duyệt quy hoạch chi tiết hoặc cơ quan được phân cấp, ủy quyền xem xét, chấp thuận quy hoạch tổng mặt bằng không quá 15 ngày, kể từ ngày nhận được đầy đủ hồ sơ từ cơ quan tổ chức lập quy hoạch.

    1