Phú Thọ dự kiến mở bán 59 căn nhà ở thấp tầng tại Khu nhà ở công nhân và dịch vụ công nghiệp xã Quang Tiến

Sở Xây dựng tỉnh Phú Thọ đã ban hành Công văn 5006/SXD-QLN&TTBĐS 2025 thông báo mở bán 59 căn nhà ở thấp tầng tại Khu nhà ở công nhân và dịch vụ công nghiệp xã Quang Tiến.

Mua bán Nhà riêng tại Thành phố Hòa Bình

Xem thêm Mua bán Nhà riêng tại Thành phố Hòa Bình

Nội dung chính

    Phú Thọ dự kiến mở bán 59 căn nhà ở thấp tầng tại Khu nhà ở công nhân và dịch vụ công nghiệp xã Quang Tiến

    Ngày 27/11/2025, Sở Xây dựng tỉnh Phú Thọ đã ban hành Công văn 5006/SXD-QLN&TTBĐS thông báo 59 căn nhà ở thấp tầng hình thành trong tương lai đủ điều kiện kinh doanh, thuộc Dự án Khu nhà ở công nhân và dịch vụ công nghiệp xã Quang Tiến, thành phố Hòa Bình, tỉnh Hòa Bình (nay là xã Thịnh Minh, tỉnh Phú Thọ).

    Theo Mục III Công văn 5006/SXD-QLN&TTBĐS năm 2025 có nêu Sở Xây dựng tỉnh Phú Thọ xác nhận và thông báo 59 căn nhà ở thấp tầng tại dự án Khu nhà ở công nhân và dịch vụ Công nghiệp tại xóm Trung Mường, xã Quang Tiến, thành phố Hoà Bình, tỉnh Hoà Bình (nay là xã Thịnh Minh Trung, tỉnh Phú Thọ) đủ điều kiện được bán, cho thuê mua nhà ở hình thành trong tương lai theo quy định tại Điều 24 Luật Kinh doanh bất động sản 2023.

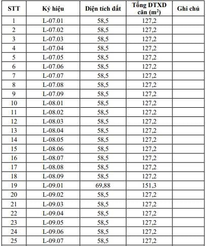
    >> Xem chi tiết 59 căn nhà ở thấp tầng tại Khu nhà ở công nhân và dịch vụ công nghiệp xã Quang Tiến

    Phú Thọ dự kiến mở bán 59 căn nhà ở thấp tầng tại Khu nhà ở công nhân và dịch vụ công nghiệp xã Quang Tiến

    Phú Thọ dự kiến mở bán 59 căn nhà ở thấp tầng tại Khu nhà ở công nhân và dịch vụ công nghiệp xã Quang Tiến (Hình từ Internet)

    Tổng quan thông tin Khu nhà ở công nhân và dịch vụ công nghiệp xã Quang Tiến

    Theo Mục I Công văn 5006/SXD-QLN&TTBĐS năm 2025, tổng quan thông tin Khu nhà ở công nhân và dịch vụ công nghiệp xã Quang Tiến (Phú Thọ) như sau:

    (1) Tên Dự án: Khu nhà ở công nhân và Dịch vụ công nghiệp xã Quang Tiến, thành phố Hoà Bình, tỉnh Hoà Bình.

    (2) Địa chỉ: xã Quang Tiến, thành phố Hoà Bình, tỉnh Hoà Bình (nay là xã Thịnh Minh, tỉnh Phú Thọ).

    (3) Quy mô dự án: 12,18 ha

    (4) Chủ đầu tư: Liên danh Công ty Cổ phần Thương mại Dạ Hợp và Công ty Cổ phần Đầu tư xuất nhập khẩu Thăng Long (Theo Quyết định 57/QĐ-UBND năm 2022 của Ủy ban nhân dân tỉnh Hòa Bình).

    (5) Công ty thực hiện dự án: Công ty TNHH Dự án nhà ở công nhân và dịch vụ công nghiệp Quang Tiến.

    Quy định về việc bàn giao nhà ở, công trình xây dựng hình thành trong tương lai hiện nay như thế nào?

    Căn cứ tại Điều 27 Luật Kinh doanh bất động sản 2023 quy định về việc bàn giao nhà ở, công trình xây dựng hình thành trong tương lai như sau:

    (1) Việc bàn giao nhà ở thực hiện theo quy định của pháp luật về nhà ở.

    (2) Chủ đầu tư dự án bất động sản bàn giao công trình xây dựng, phần diện tích sàn xây dựng trong công trình xây dựng cho bên mua, thuê mua theo đúng hợp đồng đã ký kết và bảo đảm các nguyên tắc sau đây:

    - Công trình xây dựng đã được nghiệm thu, kiểm tra công tác nghiệm thu đưa vào khai thác, sử dụng theo quy định của pháp luật về xây dựng;

    - Việc bàn giao công trình xây dựng, phần diện tích sàn xây dựng trong công trình xây dựng được lập thành văn bản;

    - Điều kiện, trình tự, thủ tục bàn giao và thẩm quyền thực hiện bàn giao công trình xây dựng thực hiện theo quy định của pháp luật về xây dựng.

    (3) Bên mua, thuê mua công trình xây dựng, phần diện tích sàn xây dựng trong công trình xây dựng trực tiếp nhận bàn giao công trình xây dựng, phần diện tích sàn xây dựng trong công trình xây dựng hoặc ủy quyền bằng văn bản theo quy định của Bộ luật Dân sự 2015 cho người đại diện để nhận bàn giao công trình xây dựng, phần diện tích sàn xây dựng trong công trình xây dựng.

    (*) Đồng thời, tại Điều 25 Luật Kinh doanh bất động sản 2023 quy định về việc thanh toán trong mua bán, thuê mua nhà ở, công trình xây dựng hình thành trong tương lai như sau:

    (1) Việc thanh toán trong mua bán nhà ở, công trình xây dựng, phần diện tích sàn xây dựng trong công trình xây dựng hình thành trong tương lai được thực hiện nhiều lần, lần đầu không quá 30% giá trị hợp đồng bao gồm cả tiền đặt cọc, những lần tiếp theo phải phù hợp với tiến độ xây dựng nhưng tổng số không quá 70% giá trị hợp đồng khi chưa bàn giao nhà ở, công trình xây dựng, phần diện tích sàn xây dựng trong công trình xây dựng cho bên mua; trường hợp bên bán là tổ chức kinh tế có vốn đầu tư nước ngoài quy định tại khoản 4 Điều 10 Luật Kinh doanh bất động sản 2023 thì tổng số không quá 50% giá trị hợp đồng.

    (2) Việc thanh toán trong thuê mua nhà ở, công trình xây dựng, phần diện tích sàn xây dựng trong công trình xây dựng hình thành trong tương lai được thực hiện nhiều lần, lần đầu không quá 30% giá trị hợp đồng bao gồm cả tiền đặt cọc, những lần tiếp theo phải phù hợp với tiến độ xây dựng đến khi bàn giao nhà ở, công trình xây dựng, phần diện tích sàn xây dựng trong công trình xây dựng cho bên thuê mua nhưng tổng số tiền thanh toán trước cho bên cho thuê mua không quá 50% giá trị hợp đồng thuê mua nhà ở, công trình xây dựng, phần diện tích sàn xây dựng trong công trình xây dựng. Số tiền còn lại được tính thành tiền thuê để trả cho bên cho thuê mua trong một thời hạn nhất định theo thỏa thuận trong hợp đồng.

    (3) Nếu bên mua, thuê mua chưa được cấp giấy chứng nhận về quyền sử dụng đất, quyền sở hữu tài sản gắn liền với đất theo quy định của pháp luật về đất đai thì bên bán, cho thuê mua không được thu quá 95% giá trị hợp đồng; giá trị còn lại của hợp đồng được thanh toán khi cơ quan nhà nước có thẩm quyền đã cấp giấy chứng nhận về quyền sử dụng đất, quyền sở hữu tài sản gắn liền với đất theo quy định của pháp luật về đất đai cho bên mua, thuê mua.

    (*) Trên đây là thông tin Phú Thọ dự kiến mở bán 59 căn nhà ở thấp tầng tại Khu nhà ở công nhân và dịch vụ công nghiệp xã Quang Tiến (Phú Thọ)

    saved-content
    unsaved-content
    1