08:28 - 27/10/2025

Danh sách 135 căn hộ mở bán tại Tháp A Khu chung cư ST5 KĐT Ehome Southgate xã Bến Lức, tỉnh Tây Ninh

Danh sách 135 căn hộ mở bán tại Tháp A Khu chung cư ST5 KĐT Vàm Cỏ Đông Southgate xã Bến Lức, tỉnh Tây Ninh

Mua bán Căn hộ chung cư tại Tây Ninh

Xem thêm Mua bán Căn hộ chung cư tại Tây Ninh

Nội dung chính

    Danh sách 135 căn hộ mở bán tại Tháp A Khu chung cư ST5 KĐT Ehome Southgate xã Bến Lức, tỉnh Tây Ninh

    Ngày 22/10/2025, Sở Xây dựng tỉnh Tây Ninh đã có Công văn 3604/SXD-NBDS năm 2025 về việc thông báo nhà ở hình thành trong tương lai đủ điều kiện được bán đối với 698 căn hộ thuộc Khu chung cư ST5 Phân khu C, Dự án Khu đô thị mới Vàm Cỏ Đông Southgate, xã An Thạnh, huyện Bến Lức, tỉnh Long An (nay là xã Bến Lức, tỉnh Tây Ninh).

    Cụ thể, tại Công văn 3604/SXD-NBDS năm 2025 nêu như sau:

    Tên dự án: Khu Đô Thị Mới Vàm Cỏ Đông Southgate.

    Địa điểm dự án: Xã An Thạnh, huyện Bến Lức, tỉnh Long An (nay là xã Bến Lức, tỉnh Tây Ninh).

    - Số lượng: 698 căn hộ.

    - Diện tích khu đất xây dựng: 30.364,14 m2.

    - Tổng diện tích sàn sử dụng căn hộ (thông thủy): 42.509,84 m2.

    Cụ thể:

    - Tháp A (01 cụm tháp 08 tầng, tầng kỹ thuật + mái che thang và khối đế 02 tầng bố trí căn hộ hỗn hợp (ở kết hợp thương mại dịch vụ)): 135 căn hộ (gồm 121 căn hộ, 14 căn hộ hỗn hợp), tổng diện tích sàn xây dựng 9.141,71m2 (chưa kể khối đế 02 tầng).

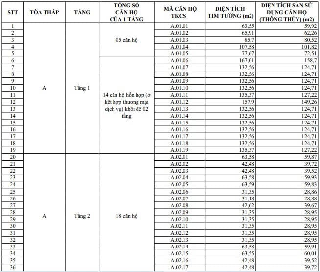
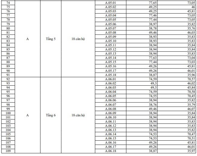
    Dưới đây là danh sách 135 căn hộ mở bán tại Tháp A Khu chung cư ST5 KĐT Ehome Southgate xã Bến Lức, tỉnh Tây Ninh:

    Trên đây là danh sách 135 căn hộ mở bán tại Tháp A Khu chung cư ST5 KĐT Ehome Southgate xã Bến Lức, tỉnh Tây Ninh

    Danh sách 135 căn hộ mở bán tại Tháp A Khu chung cư ST5 KĐT Ehome Southgate xã Bến Lức, tỉnh Tây Ninh (Hình từ Internet)

    Tổng quan dự án căn hộ EHome Southgate Bến Lức

    EHome Southgate là dự án căn hộ thuộc dòng sản phẩm “EHome – Nhà ở vừa túi tiền” nổi tiếng của Nam Long Group, được phát triển tại xã An Thạnh, huyện Bến Lức, tỉnh Long An. Đây là một phần quan trọng trong khu đô thị Southgate – Cửa ngõ Waterpoint, đánh dấu sự hợp tác giữa Tập đoàn Nam Long và Tập đoàn Nishi Nippon Railroad (Nhật Bản) – hai tên tuổi uy tín trong lĩnh vực bất động sản khu vực châu Á.

    Tên dự án: EHome Southgate

    Vị trí: Xã An Thạnh, huyện Bến Lức, tỉnh Long An

    Chủ đầu tư: Nam Long Group & Nishi Nippon Railroad

    Tổng diện tích: 4,5 ha

    Quy mô: Gồm 7 khối chung cư với hơn 1.400 căn hộ

    Mức giá: Từ khoảng 1 tỷ đồng/căn, phù hợp với đại đa số người dân Việt Nam

    Pháp lý: Minh bạch, hạ tầng hoàn thiện

    Dự án được định hướng trở thành khu đô thị hiện đại, đồng bộ và đa tiện ích, tích hợp nhiều hạng mục như: khu phức hợp văn phòng, trung tâm mua sắm giải trí, bệnh viện, hệ thống trường học từ mầm non đến đại học, cùng khu thể thao đa năng.

    Nhờ nằm trong khu vực phát triển năng động của Bến Lức - Long An, cư dân EHome Southgate dễ dàng kết nối với trung tâm TP.HCM và các khu công nghiệp lớn qua cao tốc TP.HCM – Trung Lương và cao tốc Bến Lức - Long Thành.

    Tiện ích căn hộ EHome Southgate Bến Lức

    Không chỉ dừng lại ở những sản phẩm nhà ở chất lượng, Nam Long Group luôn hướng tới mục tiêu xây dựng hệ sinh thái đô thị hoàn chỉnh, nơi cư dân được trải nghiệm cuộc sống tiện nghi, năng động và bền vững.

    EHome Southgate Bến Lức là minh chứng rõ nét cho triết lý phát triển ấy – một khu căn hộ mang phong cách hiện đại, được quy hoạch bài bản với không gian sống chan hòa cùng thiên nhiên và hệ thống tiện ích khép kín hàng đầu khu vực.

    Tại EHome Southgate, mọi nhu cầu của cư dân – từ an cư, học tập, làm việc cho đến giải trí, thư giãn – đều được đáp ứng trọn vẹn trong cùng một không gian sống.

    Dự án được quy hoạch đồng bộ với các tiện ích trọng điểm như khu phức hợp văn phòng, trung tâm thương mại – dịch vụ, khu vui chơi giải trí, bệnh viện, trường học các cấp và khu thể thao đa năng, mang đến sự thuận tiện tối đa cho cộng đồng cư dân.

    Đặc biệt, lợi thế khi nằm trong đại đô thị Waterpoint giúp EHome Southgate thừa hưởng toàn bộ hệ thống tiện ích quy mô quốc tế đã vận hành ổn định.

    Cư dân được trải nghiệm Country Club 3ha với tổ hợp thể thao đa năng, vịnh nước ngọt 8,6ha, bến du thuyền sang trọng, hệ thống kênh đào 8km điều tiết tự nhiên, cùng chuỗi công viên cây xanh và đường dạo bộ ven sông trong lành. Bên cạnh đó là hệ thống trường học, khu y tế, trung tâm thương mại, câu lạc bộ nội khu và tuyến bus liên vùng, hình thành nên một mạng lưới tiện ích “tất cả trong một” hiếm có.

    Lấy cảm hứng từ vẻ đẹp văn hóa và địa hình đặc trưng của vùng miền Tây sông nước, Nam Long cùng đối tác Nhật Bản đã kiến tạo nên mô hình “thành phố bên sông” độc đáo, nơi con người được sống giữa thiên nhiên nhưng vẫn hưởng trọn tiện nghi của một đô thị hiện đại.

    Những trải nghiệm như chèo thuyền thư giãn, chạy bộ ven sông, thể thao ngoài trời hay café ngắm hoàng hôn bên bến du thuyền đều trở thành những khoảnh khắc đáng giá trong nhịp sống thường ngày.

    Không chỉ tạo dựng nơi ở, EHome Southgate Bến Lức còn kiến tạo một cộng đồng sống văn minh, khỏe mạnh và gắn kết, nơi mỗi cư dân có thể tận hưởng cuộc sống đúng nghĩa - an cư giữa không gian xanh, tiện nghi đủ đầy và chất lượng sống được nâng tầm. Đây chính là chuẩn mực đô thị hiện đại mà Nam Long Group kiên định theo đuổi trong hành trình phát triển bền vững hơn ba thập kỷ qua.

    1