Chi tiết giá bán căn hộ block 5, block 6 ở khu nhà chung cư phục vụ công nhân tại KCN Bàu Xéo
Mua bán Đất tại Đồng Nai
Nội dung chính
Chi tiết giá bán căn hộ block 5, block 6 ở khu nhà chung cư phục vụ công nhân tại KCN Bàu Xéo
Ngày 06/08/2025, Công ty Cổ phần Thống Nhất đã có Quyết định 106/QĐ-CPTN phê duyệt giá bán căn hộ chung cư số 5 và chung cư số 6 – Khu nhà chung cư phục vụ công nhân thuộc Dự án phát triển nhà ở tại Khu Trung tâm dịch vụ KCN Bàu Xéo tại xã Trảng Bom, Tỉnh Đồng Nai.
Theo đó công bố giá bán căn hộ block 5, block 6 ở khu nhà chung cư phục vụ công nhân tại KCN Bàu Xéo cụ thể:
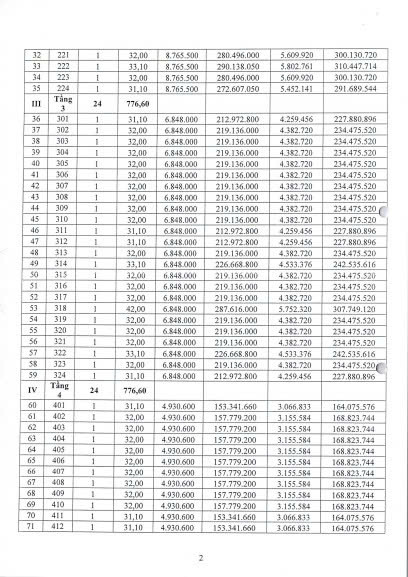
Căn hộ block 5 ở khu nhà chung cư phục vụ công nhân tại KCN Bàu Xéo
(1) Giá theo từng tầng ở block 5
- Tầng 1 (trệt): 11.878.920 đồng/m²
- Tầng 2, 3, 4 9.337.603 đồng/m²
- Tầng 5 8.754.003 đồng/m²
(Giá trên chưa bao gồm thuế Giả trị gia tăng, chi phí bảo trì, chi phí quản lý và vận hành nhà chung cư)
(2) Giá chi tiết từn căn hộ ở block 5 (Phụ lục 01 đính kèm theo Quyết định 106/QĐ-CPTN)
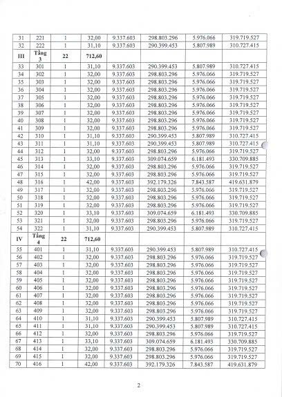
Căn hộ block 6 ở khu nhà chung cư phục vụ công nhân tại KCN Bàu Xéo
(1) Giá bán căn hộ theo từng tầng ở block 6
- Tầng 1 (trệt): 11.418.602 đồng/m²
- Tầng 2 : 8.765.500 đồng/m²
- Tầng 3 : 6.848.000 đồng/m²
- Tầng 4 : 4.930.600 đồng/m² Tầng 5 4.032.496 đồng/m²
(Giá trên chưa bao gồm thuế Giá trị gia tăng, chi phí bảo trì, chi phí quản lý và vận hành nhà chung cư)
(2) Giá bán chi tiết theo từng căn hộ ở block 6 (Phụ lục 02 đính kèm theo Quyết định 106/QĐ-CPTN)
Giá bán trên sẽ là cơ sở để Công ty ký kết hợp đồng mua bán căn hộ với
khách hàng đủ điều kiện mua căn hộ block 5, block 6 ở khu nhà chung cư phục vụ công nhân tại KCN Bàu Xéo.
Đơn giá chính thức sẽ được xác định sau khi hoàn thành, kiểm
toán và quyết toán công trình, trình các Sở ngành thẩm định theo đúng quy định Pháp
luật.

Chi tiết giá bán căn hộ block 5, block 6 ở khu nhà chung cư phục vụ công nhân tại KCN Bàu Xéo (Hình từ Internet)
Danh sách dự ánh nhà ở xã hội tại Đồng Nai hiện nay
Dưới đây là danh sách 10 dự ánh nhà ở xã hội tại Đồng Nai được chấp thuận chủ trương đầu tư xây dựng nhà ở xã hội.
STT | Tên dự án | Địa điểm | Diện tích | Quy mô | Tổng vốn đầu tư |
1 | Khu nhà ở xã hội ChC1 và ChC2 | Phường Phước Tân, TP. Biên Hòa | Trên 1,6 ha | 500 căn | 722 tỷ đồng |
2 | Nhà ở xã hội | Phường Tam Hiệp, TP. Biên Hòa | 6.405,5 m² | Chưa công bố chi tiết | 648 tỷ đồng |
3 | Nhà ở xã hội | Khu tái định cư phường Long Bình, TP. Biên Hòa | 2,4 ha | 1.248 căn | 1.135 tỷ đồng |
4 | Khu chung cư nhà ở xã hội | Xã Phước An, huyện Nhơn Trạch | 2,1 ha | Khoảng 1.400 căn (ước tính) | 1.000 tỷ đồng |
5 | Khu chung cư nhà ở xã hội | Xã Phước An, huyện Nhơn Trạch | 3,7 ha | 1.490 căn | 1.200 tỷ đồng |
6 | Nhà ở xã hội | Xã Trảng Bom, huyện Trảng Bom | 3,5 ha | Gần 1.000 căn | 733 tỷ đồng |
7 | Nhà ở xã hội | Phường Hố Nai, TP. Biên Hòa | 2,8 ha | Chưa công bố chi tiết | Chưa công bố chi tiết |
8 | Khu nhà ở xã hội | Phường Tân Triều, TP. Biên Hòa | Chưa công bố chi tiết | Chưa công bố chi tiết | Chưa công bố chi tiết |
9 | Khu nhà ở xã hội An Phước | Xã An Phước, huyện Long Thành | 7,3 ha | 1.500 căn | 1.700 tỷ đồng |
10 | Khu nhà ở xã hội Phước Bình | Xã Phước Bình, huyện Long Thành | 10 ha | 1.660 căn | 2.300 tỷ đồng |
Đồng Nai đặt mục tiêu xây dựng 10.000 căn nhà ở xã hội giai đoạn 2021-2025. Tính đến cuối năm 2024, tỉnh đã hoàn thành gần 1.700 căn và đang xây dựng thêm hơn 1.000 căn.
Danh sách dự ánh nhà ở xã hội tại Đồng Nai hiện nay mang tính tham khảo!Hình thức phát triển nhà ở xã hội theo Luật Nhà ở 2023?
Những hình thức phát triển nhà ở xã hội được quy định tại Điều 80 Luật Nhà ở 2023 cụ thể như sau:
- Nhà nước đầu tư xây dựng nhà ở xã hội bằng vốn đầu tư công để cho thuê, cho thuê mua.
- Nhà nước đầu tư xây dựng nhà ở xã hội bằng nguồn vốn từ công trái quốc gia, trái phiếu, vốn hỗ trợ phát triển chính thức, vốn vay ưu đãi của các nhà tài trợ, vốn tín dụng đầu tư phát triển của Nhà nước; vốn huy động từ Quỹ phát triển đất, các quỹ tài chính nhà nước ngoài ngân sách khác theo quy định của pháp luật để bán, cho thuê mua, cho thuê.
- Doanh nghiệp, hợp tác xã, liên hiệp hợp tác xã bỏ vốn đầu tư xây dựng nhà ở xã hội để bán, cho thuê mua, cho thuê cho đối tượng quy định tại khoản 1 Điều 77 Luật Nhà ở 2023.
- Tổng Liên đoàn Lao động Việt Nam là cơ quan chủ quản dự án đầu tư xây dựng nhà ở xã hội bằng nguồn tài chính công đoàn cho công nhân, người lao động thuộc đối tượng được hưởng chính sách nhà ở xã hội thuê.
- Tổ chức kinh tế có vốn đầu tư nước ngoài tham gia đầu tư phát triển nhà ở xã hội thông qua hình thức đầu tư vốn hoặc thực hiện đầu tư xây dựng nhà ở xã hội hoặc hợp tác kinh doanh với doanh nghiệp, hợp tác xã, liên hiệp hợp tác xã trong nước để cùng thực hiện dự án đầu tư xây dựng nhà ở xã hội để bán, cho thuê mua, cho thuê theo quy định của Luật này, pháp luật về đất đai, pháp luật về kinh doanh bất động sản và quy định khác của pháp luật có liên quan.
- Cá nhân xây dựng nhà ở xã hội để cho đối tượng quy định tại khoản 1 Điều 77 Luật Nhà ở 2023.
