Danh sách 42 lô đất ở đủ điều kiện chuyển nhượng thuộc Khu dân cư chỉnh trang nông thôn xã Phước Lợi, huyện Bến Lức, tỉnh Long An (cũ)

Danh sách 42 lô đất ở đủ điều kiện chuyển nhượng thuộc Khu dân cư chỉnh trang nông thôn xã Phước Lợi, huyện Bến Lức, tỉnh Long An được ban hành kèm theo Công văn 3531/SXD-NBĐS 2025.

Mua bán Đất tại Huyện Bến Lức

Xem thêm Mua bán Đất tại Huyện Bến Lức

Nội dung chính

    Danh sách 42 lô đất ở đủ điều kiện chuyển nhượng thuộc Khu dân cư chỉnh trang nông thôn xã Phước Lợi, huyện Bến Lức, tỉnh Long An (cũ)

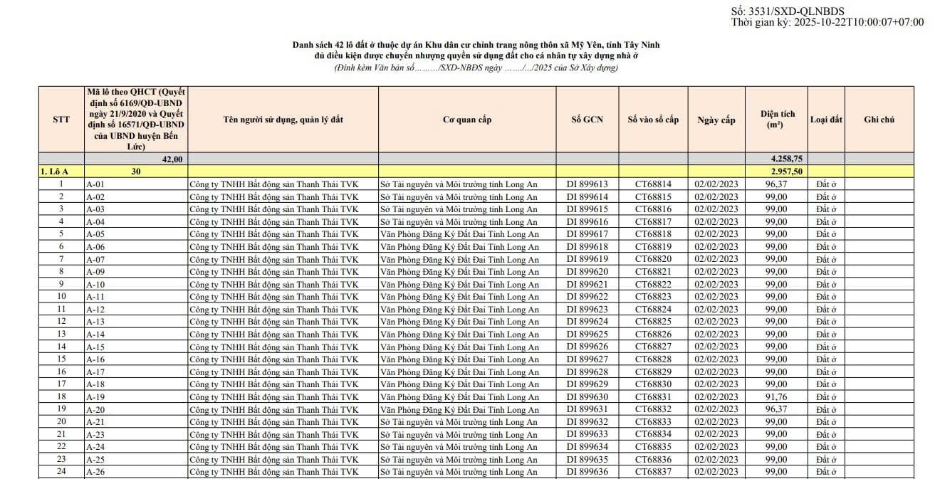
    Ngày 21 tháng 10 năm 2025, Sở Xây dựng tỉnh Tây Ninh ban hành Công văn 3531/SXD-NBĐS về việc thông báo đất đã có hạ tầng kỹ thuật trong dự án Khu dân cư chỉnh trang nông thôn, xã Phước Lợi, huyện Bến Lức, tỉnh Long An (nay là xã Mỹ Yên, tỉnh Tây Ninh) đủ điều kiện được chuyển nhượng quyền sử dụng đất cho cá nhân tự xây dựng nhà ở (42 lô đất ở).

    Danh sách 42 lô đất ở đủ điều kiện chuyển nhượng thuộc Khu dân cư chỉnh trang nông thôn xã Phước Lợi, huyện Bến Lức, tỉnh Long An (cũ) được ban hành kèm theo Công văn 3531/SXD-NBĐS 2025, cụ thể như sau:

    ...

    >> Xem chi tiết: Danh sách 42 lô đất ở đủ điều kiện chuyển nhượng thuộc Khu dân cư chỉnh trang nông thôn xã Phước Lợi, huyện Bến Lức, tỉnh Long An (cũ)

    Giới thiệu tổng quan Khu dân cư chỉnh trang nông thôn xã Phước Lợi, huyện Bến Lức, tỉnh Long An (cũ)

    Theo Mục I Công văn 3531/SXD-NBĐS 2025 có nêu tổng quan về Khu dân cư chỉnh trang nông thôn, xã Phước Lợi, huyện Bến Lức, tỉnh Long An (cũ) như sau:

    1. Tên dự án: Khu dân cư chỉnh trang nông thôn.

    2. Địa chỉ: Xã Phước Lợi, huyện Bến Lức, tỉnh Long An (nay là xã Mỹ Yên, tỉnh Tây Ninh).

    3. Tên chủ đầu tư: Công ty TNHH Bất động sản Thanh Thái TVK.

    4. Mục tiêu dự án: Khu dân cư.

    5. Quy mô dự án:

    - Diện tích sử dụng đất khoảng: 0,9809 ha.

    - Tổng số lô đất ở: 42 lô (theo Quyết định 16571/QĐ-UBND ngày 26/12/2022 của UBND huyện Bến Lức).

    6. Số lô đất ở đủ điều kiện được chuyển nhượng: 42 lô (đính kèm vị trí, do Công ty TNHH Bất động sản Thanh Thái TVK cung cấp).

    Danh sách 42 căn hộ đủ điều kiện chuyển nhượng thuộc Khu dân cư chỉnh trang nông thôn xã Phước Lợi, huyện Bến Lức, tỉnh Long An

    Danh sách 42 lô đất ở đủ điều kiện chuyển nhượng thuộc Khu dân cư chỉnh trang nông thôn xã Phước Lợi, huyện Bến Lức, tỉnh Long An (Hình từ Internet)

    Yêu cầu chung về phát triển và quản lý, sử dụng nhà ở hiện nay

    Căn cứ theo Điều 5 Luật Nhà ở 2023 (được sửa đổi bởi điểm a khoản 5 Điều 57 Luật Quy hoạch đô thị và nông thôn 2024) quy định về các yêu cầu chung về phát triển và quản lý, sử dụng nhà ở như sau:

    (1) Phù hợp với nhu cầu về nhà ở của các đối tượng và điều kiện kinh tế - xã hội của đất nước, địa phương, vùng, miền trong từng thời kỳ.

    (2) Phù hợp với Chiến lược phát triển nhà ở quốc gia, quy hoạch sử dụng đất, kế hoạch sử dụng đất, quy hoạch đô thị và nông thôn, chương trình, kế hoạch phát triển nhà ở trong từng giai đoạn của địa phương, bảo đảm đồng bộ về hạ tầng kỹ thuật và hạ tầng xã hội; phát triển nhà ở trên cơ sở sử dụng tiết kiệm các nguồn lực; tăng cường công tác quản lý xây dựng nhà ở.

    (3) Tuân thủ quy định của pháp luật về nhà ở; đáp ứng tiêu chuẩn, quy chuẩn kỹ thuật, chất lượng xây dựng đối với nhà ở theo quy định của pháp luật, thực hiện đúng yêu cầu về phòng cháy, chữa cháy, kiến trúc, cảnh quan, vệ sinh, môi trường, an toàn trong quá trình xây dựng theo quy định của pháp luật; có khả năng ứng phó với thiên tai, biến đổi khí hậu; sử dụng tiết kiệm năng lượng, tài nguyên đất đai.

    (4) Đối với khu vực đô thị, việc phát triển nhà ở chủ yếu được thực hiện theo dự án, có các cơ cấu loại hình, diện tích nhà ở phù hợp với nhu cầu của thị trường. Đối với các khu vực còn lại thì căn cứ điều kiện cụ thể của địa phương, Ủy ban nhân dân cấp tỉnh quy định cụ thể các địa điểm, vị trí phải phát triển nhà ở theo dự án. Tại đô thị loại I, tại các phường, quận, thành phố thuộc đô thị loại đặc biệt thì chủ yếu phát triển nhà chung cư.

    (5) Tại các khu vực phường, quận, thành phố thuộc đô thị loại đặc biệt, loại I, loại II và loại III, chủ đầu tư dự án đầu tư xây dựng nhà ở phải xây dựng nhà ở để bán, cho thuê mua, cho thuê.

    Đối với các khu vực còn lại, Ủy ban nhân dân cấp tỉnh căn cứ điều kiện của địa phương để xác định các khu vực chủ đầu tư dự án đầu tư xây dựng nhà ở phải xây dựng nhà ở để bán, cho thuê mua, cho thuê hoặc được chuyển nhượng quyền sử dụng đất theo hình thức phân lô bán nền để cá nhân tự xây dựng nhà ở;

    Trường hợp chủ đầu tư dự án đầu tư xây dựng nhà ở được chuyển nhượng quyền sử dụng đất cho cá nhân tự xây dựng nhà ở thì thực hiện theo quy định của pháp luật về kinh doanh bất động sản và pháp luật về đất đai;

    Trường hợp đấu giá quyền sử dụng đất để đầu tư dự án đầu tư xây dựng nhà ở theo quy định của Luật Đất đai 2024 thì chủ đầu tư dự án đầu tư xây dựng nhà ở phải xây dựng nhà ở để bán, cho thuê mua, cho thuê.

    (6) Căn cứ nhu cầu về nhà ở và điều kiện của địa phương, cơ quan có thẩm quyền phê duyệt quy hoạch phải quy hoạch bố trí quỹ đất để phát triển nhà ở xã hội cho các đối tượng thu nhập thấp, hộ gia đình nghèo, cận nghèo tại khu vực đô thị, người lao động làm việc trong khu kinh tế, khu công nghiệp, khu chế xuất, khu công nghệ cao theo quy định của Luật Nhà ở 2023.

    (7) Đối với khu vực nông thôn, miền núi, biên giới, hải đảo thì việc phát triển nhà ở phải phù hợp với chương trình xây dựng nông thôn mới, phong tục, tập quán của từng dân tộc, điều kiện tự nhiên của từng vùng, miền; từng bước xóa bỏ việc du canh, du cư, bảo đảm phát triển nông thôn bền vững; khuyến khích phát triển nhà ở theo dự án, nhà ở nhiều tầng.

    (8) Việc quản lý, sử dụng nhà ở phải đúng mục đích, công năng sử dụng, đáp ứng các điều kiện về phòng cháy, chữa cháy, vệ sinh, môi trường, an ninh, trật tự, an toàn xã hội, tuân thủ quy định về quản lý hồ sơ nhà ở, bảo hành, bảo trì, cải tạo, phá dỡ nhà ở và các quy định của pháp luật về quản lý, sử dụng nhà ở có liên quan.

    (9) Đáp ứng yêu cầu khác theo quy định của Luật Nhà ở 2023 đối với việc phát triển từng loại hình nhà ở.

    saved-content
    unsaved-content
    1