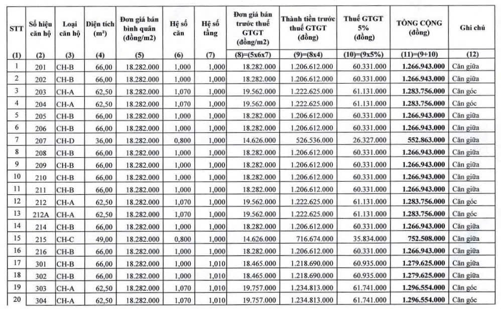
Bảng giá chi tiết nhà ở xã hội Khu đô thị Hùng Vương Tiền Châu (Phú Thọ) lô XH1 XH2
Mua bán Nhà riêng tại Phú Thọ
Nội dung chính
Bảng giá chi tiết nhà ở xã hội Khu đô thị Hùng Vương Tiền Châu (Phú Thọ) lô XH1 XH2
Ngày 29/10/2025, Sở Xây dựng tỉnh Phú Thọ đã có Công văn 3772/SXD-QLN&TTBĐS về việc công khai giá bán Nhà ở xã hội tại lô XH1, XH2 thuộc Khu đô thị Hùng Vương - Tiền Châu.
Theo đó, công bố kèm theo Công văn 3772/SXD-QLN&TTBĐS 2025 là Quyết định 1010/QĐ-TL 2025 về việc phê duyệt giá bán Nhà ở xã hội thuộc dự án nhà ở xã hội tại lô XH1, XH2 thuộc khu đô thị Hùng Vương - Tiền Châu.
Cụ thể, Bảng giá chi tiết nhà ở xã hội Khu đô thị Hùng Vương Tiền Châu (Phú Thọ) lô XH1 XH2 ban hành kèm theo Quyết định 1010/QĐ-TL 2025 như sau:


>> Xem đầy đủ: Bảng giá chi tiết nhà ở xã hội Khu đô thị Hùng Vương Tiền Châu (Phú Thọ) lô XH1 XH2
Bảng giá chi tiết nhà ở xã hội Khu đô thị Hùng Vương Tiền Châu (Phú Thọ) lô XH1 XH2 (Hình từ Internet)
Thông tin nhà ở xã hội Khu đô thị Hùng Vương Tiền Châu (Phú Thọ) lô XH1 XH2
Căn cứ tại Công văn 2434/SXD-QLN có nêu thông tinnhà ở xã hội Khu đô thị Hùng Vương Tiền Châu (Phú Thọ) lô XH1 XH2 như sau:
(1) Tên dự án: Công trình Nhà ở xã hội tại lô đất XH1, XH2 thuộc Khu đô thị Hùng Vương - Tiền Châu.
(2) Địa điểm xây dựng: Phường Phúc Yên, tỉnh Phú Thọ.
(3) Chủ đầu tư: Công ty Cổ phần Xây dựng Thăng Long.
(4) Tiến độ thực hiện dự án
- Khởi công ngày 25/7/2025;
- Thời gian hoàn thành xây dựng công trình: Quý 4/2026.
(5) Quy mô công trình nhà ở xã hội XH1, XH2
| STT | Chỉ tiêu kỹ thuật | Đơn vị | Lô XH1 | Lô XH2 | Tổng cộng |
1 | Diện tích đất | m2 | 14.020 | 18.273 | 32.293 |
2 | Diện tích xây dựng | m2 | 5.756 | 7.195 | 12.951 |
3 | Mật độ | % | 41,1% | 39,4% | 40,1% |
4 | Diện tích sàn | m2 | 48.596 | 60.746 | 109.342 |
5 | Hệ số sử dụng đất | lần | 3,47 | 3,32 | 3,39 |
6 | Số tầng | tầng | 9 | 9 | 9 |
Ghi chú: Quy mô công trình nhà ở xã hội XH1, XH2 gồm 9 tòa đánh số từ N1 đến N9: Diện tích xây dựng 1 tòa: 1439 m2; Diện tích sàn 1 tòa: 12.149 m2.
(6) Số lượng căn hộ: tổng số 1.152 căn hộ (128 căn hộ/1 tòa).
Những đối tượng được hưởng chính sách hỗ trợ về nhà ở xã hội năm 2025
Theo Điều 76 Luật Nhà ở 2023 quy định về các đối tượng được hưởng chính sách hỗ trợ về nhà ở xã hội bao gồm:
(1) Người có công với cách mạng, thân nhân liệt sĩ thuộc trường hợp được hỗ trợ cải thiện nhà ở theo quy định của Pháp lệnh Ưu đãi người có công với cách mạng 2020.
(2) Hộ gia đình nghèo, cận nghèo tại khu vực nông thôn.
(3) Hộ gia đình nghèo, cận nghèo tại khu vực nông thôn thuộc vùng thường xuyên bị ảnh hưởng bởi thiên tai, biến đổi khí hậu.
(4) Hộ gia đình nghèo, cận nghèo tại khu vực đô thị.
(5) Người thu nhập thấp tại khu vực đô thị.
(6) Công nhân, người lao động đang làm việc tại doanh nghiệp, hợp tác xã, liên hiệp hợp tác xã trong và ngoài khu công nghiệp.
(7) Sĩ quan, quân nhân chuyên nghiệp, hạ sĩ quan thuộc lực lượng vũ trang nhân dân, công nhân công an, công chức, công nhân và viên chức quốc phòng đang phục vụ tại ngũ; người làm công tác cơ yếu, người làm công tác khác trong tổ chức cơ yếu hưởng lương từ ngân sách nhà nước đang công tác.
(8) Cán bộ, công chức, viên chức theo quy định của pháp luật về cán bộ, công chức, viên chức.
(9) Đối tượng đã trả lại nhà ở công vụ theo quy định tại khoản 4 Điều 125 Luật Nhà ở 2023, trừ trường hợp bị thu hồi nhà ở công vụ do vi phạm quy định của Luật Nhà ở 2023.
(10) Hộ gia đình, cá nhân thuộc trường hợp bị thu hồi đất và phải giải tỏa, phá dỡ nhà ở theo quy định của pháp luật mà chưa được Nhà nước bồi thường bằng nhà ở, đất ở.
(11) Học sinh, sinh viên đại học, học viện, trường đại học, cao đẳng, dạy nghề, trường chuyên biệt theo quy định của pháp luật; học sinh trường dân tộc nội trú công lập.
(12) Doanh nghiệp, hợp tác xã, liên hiệp hợp tác xã trong khu công nghiệp.

