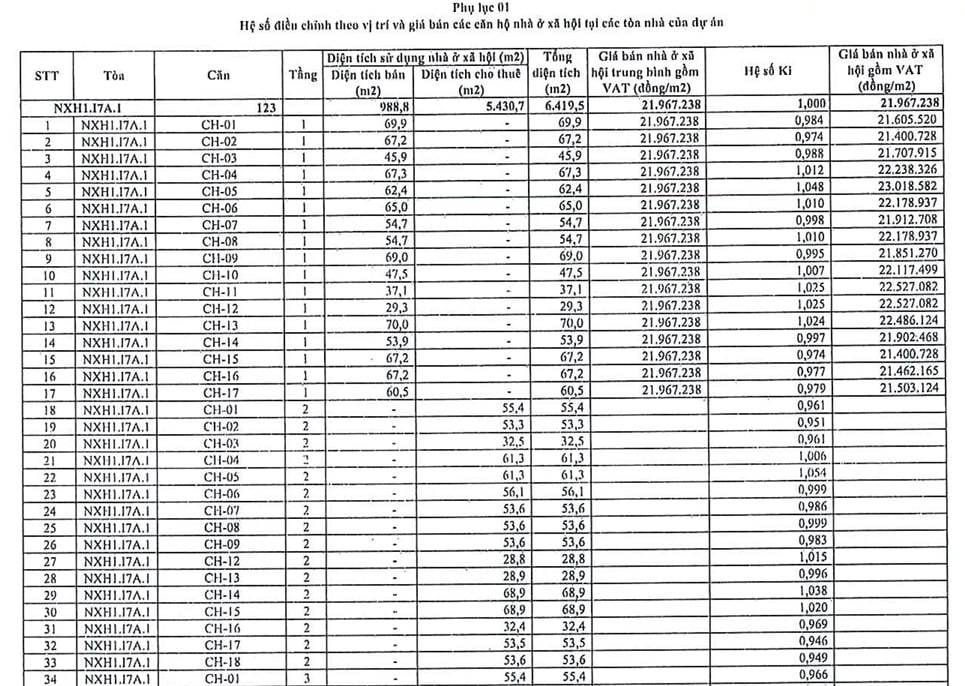
Bảng giá bán chi tiết nhà ở xã hội Happy Home Tràng Cát tại Hải Phòng (giai đoạn 1)
Mua bán Nhà riêng tại Quận Hải An
Nội dung chính
Bảng giá bán chi tiết nhà ở xã hội Happy Home Tràng Cát tại Hải Phòng (giai đoạn 1)
Ngày 19 tháng 11 năm 2025, Công ty Cổ phần Vinhomes đã có Quyết định 1911/2025/QĐ-TGĐ về việc phê duyệt điều chỉnh giá nhà ở xã hội Dự án xây dựng Nhà ở xã hội (giai đoạn 1) tại phường Tràng Cát, quận Hải An thuộc Khu kinh tế Đình Vũ - Cát Hải, thành phố Hải Phòng).
Cụ thể, tại Phụ lục ban hành kèm theo Quyết định 1911/2025/QĐ-TGĐ là bảng giá bán chi tiết nhà ở xã hội Happy Home Tràng Cát tại Hải Phòng (giai đoạn 1) như sau:

>> Xem chi tiết: Bảng giá bán chi tiết nhà ở xã hội Happy Home Tràng Cát tại Hải Phòng (giai đoạn 1)

Bảng giá bán chi tiết nhà ở xã hội Happy Home Tràng Cát tại Hải Phòng (giai đoạn 1) (Hình từ Internet)
Thông tin dự án nhà ở xã hội Happy Home Tràng Cát tại Hải Phòng (giai đoạn 1)
Căn cứ tại Công văn 10246/SXD-QLN 2025 có nêu thông tin dự án nhà ở xã hội Happy Home Tràng Cát tại Hải Phòng (giai đoạn 1) như sau:
- Tên công trình: Nhà ở xã hội (giai đoạn 1) tại phường Tràng Cát, quận Hải An thuộc Khu kinh tế Đình Vũ - Cát Hải, thành phố Hải Phòng (Nay là phường Hải An, thành phố Hải Phòng).
- Số lượng căn hộ: 3.804 căn hộ chung cư NOXH.
- Địa điểm thực hiện dự án: Phường Tràng Cát, quận Hải An thuộc Khu kinh tế Đình Vũ - Cát Hải, thành phố Hải Phòng (Nay là phường Hải An, thành phố Hải Phòng) - Chủ đầu tư: Công ty cổ phần Vinhomes.
- Địa chỉ trụ sở chính của Chủ đầu tư: Tòa nhà văn phòng Symphony, đường Chu Huy Mân, Khu đô thị Vinhomes Riverside, phường Phúc Lợi, thành phố Hà Nội.
Việc bán nhà ở xã hội phải đảm bảo yêu cầu nào?
Căn cứ tại khoản 1 Điều 89 Luật Nhà ở 2023 quy định việc bán nhà ở xã hội được thực hiện theo quy định sau đây:
(1) Việc bán nhà ở xã hội hình thành trong tương lai chỉ được thực hiện khi bảo đảm quy định tại khoản 3 Điều 88 Luật Nhà ở 2023; việc bán nhà ở xã hội có sẵn chỉ được thực hiện khi bảo đảm quy định tại khoản 4 Điều 88 Luật Nhà ở 2023;
(2) Việc mua bán nhà ở xã hội phải được lập thành hợp đồng có các nội dung quy định tại Điều 163 Luật Nhà ở 2023;
(3) Việc ứng tiền trước của người mua nhà ở xã hội được thực hiện theo thỏa thuận trong hợp đồng mua bán nhà ở, phù hợp với tỷ lệ hoàn thành xây dựng công trình nhà ở và tiến độ thực hiện dự án đã được phê duyệt nhưng số tiền ứng trước lần đầu không vượt quá 30% giá trị hợp đồng bao gồm cả tiền đặt cọc (nếu có), tổng số tiền các lần thanh toán không được vượt quá 70% giá trị hợp đồng đến trước khi bàn giao nhà ở cho người mua và không được vượt quá 95% giá trị hợp đồng đến trước khi người mua nhà được cấp Giấy chứng nhận đối với nhà ở đó;
(4) Bên mua nhà ở xã hội không được bán lại nhà ở trong thời hạn tối thiểu là 05 năm, kể từ ngày thanh toán đủ tiền mua nhà ở, trừ trường hợp quy định tại điểm đ khoản 1 Điều 89 Luật Nhà ở 2023;
(5) Trong thời hạn 05 năm, kể từ ngày bên mua nhà ở xã hội đã thanh toán đủ tiền mua nhà ở mà có nhu cầu bán nhà ở này thì chỉ được bán lại cho chủ đầu tư dự án đầu tư xây dựng nhà ở xã hội hoặc bán lại cho đối tượng thuộc trường hợp được mua nhà ở xã hội với giá bán tối đa bằng giá bán nhà ở xã hội này trong hợp đồng mua bán với chủ đầu tư dự án đầu tư xây dựng nhà ở xã hội. Việc nộp thuế thu nhập cá nhân thực hiện theo quy định của pháp luật về thuế;
(6) Sau thời hạn 05 năm, kể từ ngày đã thanh toán đủ tiền mua nhà ở, bên mua nhà ở xã hội được bán lại nhà ở này theo cơ chế thị trường cho đối tượng có nhu cầu nếu đã được cấp Giấy chứng nhận; bên bán không phải nộp tiền sử dụng đất và phải nộp thuế thu nhập theo quy định của pháp luật về thuế, trừ trường hợp bán nhà ở xã hội là nhà ở riêng lẻ thì bên bán phải nộp tiền sử dụng đất theo quy định của Chính phủ và phải nộp thuế thu nhập theo quy định của pháp luật về thuế.
