Danh sách 51 lô đất ở thuộc Khu dân cư nông thôn xã Lương Hòa Tây Ninh đủ điều kiện được chuyển nhượng quyền sử dụng đất
Mua bán Bất động sản khác tại Tây Ninh
Nội dung chính
Danh sách 51 lô đất ở thuộc Khu dân cư nông thôn xã Lương Hòa Tây Ninh đủ điều kiện được chuyển nhượng quyền sử dụng đất
Khu dân cư nông thôn zã Tân Bửu, huyện Bến Lức, tỉnh Long An (nay là xã Lương Hòa, tỉnh Tây Ninh) do Công ty TNHH Bất động sản Trần Lợi làm chủ đầu tư
Ngày 22/10/2025 UBND Tây Ninh ban hành Văn bản 3578/SXD-NBĐS về thông báo đất đã có hạ tầng kỹ thuật trong dự án Khu dân cư nông thôn, xã Tân Bửu, huyện Bến Lức, tỉnh Long An (nay là xã Lương Hòa, tỉnh Tây Ninh) đủ điều kiện được chuyển nhượng quyền sử dụng đất cho cá nhân tự xây dựng nhà ở (51 lô đất ở)
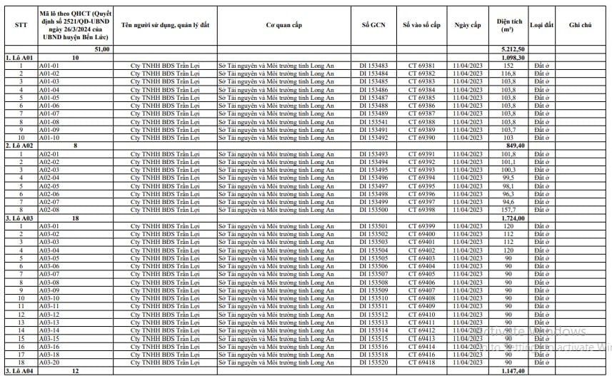
Dưới đây là danh sách 51 lô đất ở thuộc Khu dân cư nông thôn xã Lương Hòa Tây Ninh đủ điều kiện được chuyển nhượng quyền sử dụng đất.
>>> Xem chi tiết danh sách 51 lô đất ở thuộc Khu dân cư nông thôn xã Lương Hòa Tây Ninh đủ điều kiện được chuyển nhượng quyền sử dụng đất: TẠI ĐÂY

Danh sách 51 lô đất ở thuộc Khu dân cư nông thôn xã Lương Hòa Tây Ninh đủ điều kiện được chuyển nhượng quyền sử dụng đất (Hình từ Internet)
Giới thiệu tổng quan về Khu dân cư nông thôn xã Lương Hòa Tây Ninh
Căn cứ khoản 4 Điều 2 Luật Quy hoạch đô thị và nông thôn 2024 quy định Khu dân cư nông thôn là nơi cư trú tập trung của các hộ gia đình gắn kết với nhau trong sản xuất, sinh hoạt và các hoạt động xã hội khác trong phạm vi một khu vực nhất định ở nông thôn, được hình thành do điều kiện tự nhiên, điều kiện kinh tế - xã hội, điều kiện hạ tầng kỹ thuật và các yếu tố khác
Dưới đây là bảng giới thiệu tổng quan về Khu dân cư nông thôn xã Lương Hòa Tây Ninh
| Thông tin | Chi tiết |
| Tên dự án | Khu dân cư nông thôn |
| Địa chỉ | Xã Tân Bửu, huyện Bến Lức, tỉnh Long An (nay là xã Lương Hòa, tỉnh Tây Ninh) |
| Tên chủ đầu tư | Công ty TNHH Bất động sản Trần Lợi |
| Mục tiêu dự án | Khu dân cư |
| Diện tích sử dụng đất | khoảng 1,26 ha. |
Thông tin pháp lý về hồ sơ quy hoạch, thiết kế, xây dựng của dự án Khu dân cư nông thôn xã Lương Hòa Tây Ninh
Theo Văn bản 3578/SXD-NBĐS có nêu thông tin pháp lý về hồ sơ quy hoạch, thiết kế, xây dựng của dự án Khu dân cư nông thôn xã Lương Hòa Tây Ninh
- Quyết định số 674/QĐ-UBND ngày 19/01/2022 của UBND huyện Bến Lức về phê duyệt đồ án quy hoạch chi tiết xây dựng tỷ lệ 1/500 Khu dân cư nông thôn, xã Tân Bửu, huyện Bến Lức, tỉnh Long An.
- Quyết định số 2521/QĐ-UBND ngày 26/3/2024 của UBND huyện Bến Lức về phê duyệt đồ án quy hoạch chi tiết xây dựng tỷ lệ 1/500 Khu dân cư nông thôn, xã Tân Bửu, huyện Bến Lức, tỉnh Long An.
- Văn bản số 1933/SXD-QLXD ngày 25/5/2022 của Sở Xây dựng về thông báo kết quả thẩm định báo cáo nghiên cứu khả thi đầu tư xây dựng dự án Khu dân cư nông thôn.
- Giấy phép xây dựng số 604/GPXD-UBND ngày 18/10/2022 của UBND huyện Bến Lức cấp cho Công ty TNHH Bất động sản Trần Lợi, được phép xây dựng công trình: Hạ tầng kỹ thuật Khu dân cư nông thôn, xã Tân Bửu, huyện Bến Lức, tỉnh Long An.
- Giấy phép xây dựng số 656/GPXD-UBND ngày 17/11/2022 của UBND huyện Bến Lức cấp cho Công ty TNHH Bất động sản Trần Lợi, được phép xây dựng công trình: Nhà văn hóa cộng đồng.
- Giấy phép xây dựng số 713/GPXD-UBND ngày 23/12/2022 của UBND huyện Bến Lức cấp cho Công ty TNHH Bất động sản Trần Lợi, được phép xây dựng công trình: Nhà thương mại dịch vụ.
- Giấy phép xây dựng số 509/GPXD-UBND ngày 19/6/2025 của UBND huyện Bến Lức cấp cho Công ty TNHH Bất động sản Trần Lợi, được phép xây dựng công trình: Nhà xe.
- Giấy chứng nhận thẩm duyệt thiết kế về phòng cháy và chữa cháy số 87/TD-PCCC ngày 02/3/2022 của Phòng Cảnh sát PCCC và CNCH, Công an tỉnh Long An chứng nhận Dự án Khu dân cư nông thôn, xã Tân Bửu, huyện Bến Lức của Công ty TNHH Bất động sản Trần Lợi.
- Văn bản số 534/NT-CAT-PC07 ngày 14/12/2022 của Phòng Cảnh sát PCCC và CNCH, Công an tỉnh Long An chấp thuận kết quả nghiệm thu về phòng cháy và chữa cháy của công trình Dự án Khu dân cư nông thôn, xã Tân Bửu, huyện Bến Lức, tỉnh Long An của Công ty TNHH Bất động sản Trần Lợi.
- Văn bản số 2401/SXD-QLHĐXD ngày 23/9/2025 của Sở Xây dựng về ý kiến thẩm quyền kiểm tra công tác nghiệm thu đối với công trình hạ tầng kỹ thuật Khu dân cư nông thôn, xã Lương Hòa, tỉnh Tây Ninh.
- Biên bản nghiệm thu hoàn thành công trình đưa vào sử dụng, hạng mục hệ thống hạ tầng kỹ thuật của Khu dân cư nông thôn, xã Lương Hòa, tỉnh Tây Ninh ngày 06/8/2025 giữa (đại diện chủ đầu tư) Công ty TNHH Bất động sản Trần Lợi, (đại diện đơn vị tư vấn giám sát) Công ty TNHH Thương mại Dịch vụ Xây dựng Phúc Tín, (đại diện đơn vị thi công) Công ty TNHH Đầu tư Thiết kế Kiến trúc Xây dựng T & C và (đại diện đơn vị tư vấn thiết kế) Công ty TNHH Dịch vụ và Xây dựng Hoàng Phúc.
- Biên bản nghiệm thu hoàn thành công trình đưa vào sử dụng, hạng mục nhà thương mại dịch vụ của Khu dân cư nông thôn, xã Lương Hòa, tỉnh Tây Ninh ngày 25/5/2023 giữa (đại diện chủ đầu tư) Công ty TNHH Bất động sản Trần Lợi, (đại diện đơn vị tư vấn giám sát) Công ty TNHH Thương mại Dịch vụ Xây dựng Phúc Tín, (đại diện đơn vị thi công) Công ty TNHH Thương mại Xây dựng Gia Nguyên và (đại diện đơn vị tư vấn thiết kế) Công ty TNHH Tư vấn và Đầu tư Xây dựng DHHOME.
- Biên bản nghiệm thu hoàn thành công trình đưa vào sử dụng, hạng mục
nhà văn hóa cộng đồng của Khu dân cư nông thôn, xã Lương Hòa, tỉnh Tây Ninh
ngày 06/3/2023 giữa (đại diện chủ đầu tư) Công ty TNHH Bất động sản Trần
Lợi, (đại diện đơn vị tư vấn giám sát) Công ty TNHH Thương mại Dịch vụ Xây
dựng Phúc Tín, (đại diện đơn vị thi công) Công ty TNHH Thương mại Xây dựng
Gia Nguyên và (đại diện đơn vị tư vấn thiết kế) Công ty TNHH Tư vấn và Đầu
tư Xây dựng DHHOME.
