Thông tin chi tiết đấu giá quyền sử dụng đất tại xã Triệu Việt Vương, tỉnh Hưng Yên
Mua bán Đất tại Hưng Yên
Nội dung chính
Chi tiết 57 lô đất đấu giá quyền sử dụng đất tại xã Triệu Việt Vương, tỉnh Hưng Yên
Vừa qua, Công ty Đấu giá hợp danh Sao Mai Group đã có Thông báo 58/2025/TBĐG-SMG về đấu giá quyền sử dụng đất 115 thửa đất cho nhân dân làm nhà ở tại Khu dân cư nông thôn mới Xuân Đình, xã Triệu Việt Vương (Phạm Hồng Thái cũ), tỉnh Hưng Yên - Đợt 1 gồm 57 thửa (suất) đất.
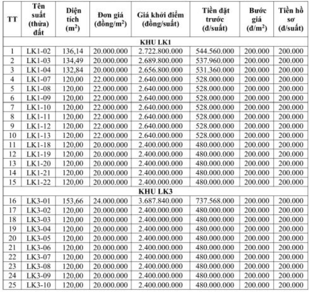
Danh sách chi tiết 57 lô đất đấu giá quyền sử dụng đất tại xã Triệu Việt Vương, tỉnh Hưng Yên như sau:

Xem chi tiết 57 lô đất: TẠI ĐÂY
Tổng giá khởi điểm của tài săn: 144.586.320.000 đồng (chưa bao gồm các loại thuế, phí, lệ phí và các nghĩa vụ tài chính khác liên quan đến chuyển quyền sử dụng đất và giao quyền sử dụng đất, mặt bằng quyền sử dụng đất cho người mua được tài sản đấu giá theo quy định của pháp luật (nếu có) do người mua được tài sản đấu giá phải chịu).
Trên đây là toàn bộ thông tin về 57 lô đất đấu giá quyền sử dụng đất tại xã Triệu Việt Vương, tỉnh Hưng Yên.

Thông tin chi tiết đấu giá quyền sử dụng đất tại xã Triệu Việt Vương, tỉnh Hưng Yên (Hình từ Internet)
Thông tin về đấu giá quyền sử dụng đất tại xã Triệu Việt Vương, tỉnh Hưng Yên
[1] Thời gian, địa điểm bán hồ sơ, tiếp nhận hồ sơ mời tham gia đấu giá:
- Thời gian: Từ 08 giờ 00 phút ngày 08 tháng 9 năm 2025 đến trước 17 giờ 00 phút ngày 24 tháng 9 năm 2025 (theo giờ hành chính các ngày làm việc)
- Địa điểm: Nộp trực tiếp tại trụ sở Công ty đấu giá hợp danh Sao Mai Group, địa chỉ: Lô LK 03-15, xã Khoái Châu, tỉnh Hưng Yên; tại Ủy ban nhân dân xã Triệu Việt Vương, địa chỉ: xã Triệu Việt Vương, tỉnh Hưng Yên hoặc được chuyển phát qua thư điện tử, thư bảo đảm về địa chỉ của Công ty.
[2] Thời gian, địa điểm đăng ký xem tài sản
- Thời gian: Ngày 11 tháng 9 năm 2025 và ngày 12 tháng 9 năm 2025.
- Địa điểm: Trụ sở Công ty đầu giá hợp danh Sao Mai Group, địa chì: Lô LK 03-15, xã Khoái Châu, tỉnh Hưng Yên hoặc tại Ủy ban nhân dân xã Triệu Việt Vương, địa chỉ: xã Triệu Việt Vương, tỉnh Hưng Yên.
[3] Thời gian, địa điểm xem tài sản tại nơi tọa lạc tài sản:
- Thời gian: Từ ngày 16 tháng 9 đến ngày 18 tháng 9 năm 2025
- Địa điểm: Thực địa khu đấu giá
[4] Thời gian, địa điểm tổ chức phiên đấu giá:
- Thời gian: Điểm danh khách hàng lúc 07 giờ 30 phút, phiên đấu giá bắt đầu lúc 08 giờ 30 phút ngày 27 tháng 9 năm 2025 (Thứ Bảy).
- Địa điểm: Nhà văn hóa xã Triệu Việt Vương; Địa chỉ: xã Triệu Việt Vương, tỉnh Hưng Yên.
[5] Hình thức đấu giá: Đấu giá bằng bỏ phiếu trực tiếp 01 vòng tại cuộc đấu giá đối với từng thửa (suất) đất.
[6] Phương thức đấu giá: Trả giá lên
Để tiến hành đấu giá quyền sử dụng đất cần đáp ứng điều kiện gì?
Căn cứ theo Điều 125 Luật Đất đai 2024 quy định về giao đất, cho thuê đất thông qua đấu giá quyền sử dụng đất như sau:
Điều 125. Giao đất, cho thuê đất thông qua đấu giá quyền sử dụng đất
1. Nhà nước giao đất có thu tiền sử dụng đất, cho thuê đất trả tiền một lần cho cả thời gian thuê thông qua đấu giá quyền sử dụng đất trong các trường hợp sau đây:
a) Dự án đầu tư sử dụng đất từ quỹ đất quy định tại khoản 1 Điều 217 của Luật này, trừ trường hợp quy định tại Điều 124 và Điều 126 của Luật này;
b) Giao đất ở cho cá nhân trừ trường hợp quy định tại Điều 124 của Luật này.
2. Điều kiện để tiến hành đấu giá quyền sử dụng đất bao gồm:
a) Đất đã được thu hồi và hoàn thành bồi thường, hỗ trợ, tái định cư hoặc không phải bồi thường, hỗ trợ, tái định cư; trong khu vực dự án có hạ tầng giao thông đã được kết nối;
b) Có trong kế hoạch sử dụng đất hằng năm cấp huyện đã được phê duyệt vào mục đích sử dụng để đấu giá quyền sử dụng đất, trừ trường hợp đấu giá quyền sử dụng đất đối với đất quy định tại điểm e khoản 1 Điều 217 của Luật này;
c) Có quy hoạch chi tiết 1/500 được cơ quan nhà nước có thẩm quyền tổ chức lập và phê duyệt đối với dự án đầu tư xây dựng nhà ở;
d) Có phương án đấu giá quyền sử dụng đất đã được cơ quan có thẩm quyền phê duyệt.
[...]
Như vậy, để tiến hành đấu giá quyền sử dụng đất cần đáp ứng các điều kiện sau:
- Đất đã được thu hồi và hoàn thành bồi thường, hỗ trợ, tái định cư hoặc không phải bồi thường, hỗ trợ, tái định cư; trong khu vực dự án có hạ tầng giao thông đã được kết nối;
- Có trong kế hoạch sử dụng đất hằng năm cấp huyện đã được phê duyệt vào mục đích sử dụng để đấu giá quyền sử dụng đất, trừ trường hợp đấu giá quyền sử dụng đất đối với đất quy định tại điểm e khoản 1 Điều 217 Luật Đất đai 2024;
- Có quy hoạch chi tiết 1/500 được cơ quan nhà nước có thẩm quyền tổ chức lập và phê duyệt đối với dự án đầu tư xây dựng nhà ở;
- Có phương án đấu giá quyền sử dụng đất đã được cơ quan có thẩm quyền phê duyệt.
