Mở bán 190 căn hộ tại Tháp C Khu chung cư ST5 KĐT mới Vàm Cỏ Đông Southgate Long An
Nội dung chính
Mở bán 190 căn hộ tại Tháp C Khu chung cư ST5 KĐT mới Vàm Cỏ Đông Southgate Long An
Ngày 22/10/2025, Sở Xây dựng tỉnh Tây Ninh đã có Công văn 3604/SXD-NBDS năm 2025 về việc thông báo nhà ở hình thành trong tương lai đủ điều kiện được bán đối với 698 căn hộ thuộc Khu chung cư ST5 Phân khu C, Dự án Khu đô thị mới Vàm Cỏ Đông Southgate, xã An Thạnh, huyện Bến Lức, tỉnh Long An (nay là xã Bến Lức, tỉnh Tây Ninh).
Tên dự án: Khu Đô Thị Mới Vàm Cỏ Đông Southgate.
Địa điểm dự án: Xã An Thạnh, huyện Bến Lức, tỉnh Long An (nay là xã Bến Lức, tỉnh Tây Ninh).
- Số lượng: 698 căn hộ.
- Diện tích khu đất xây dựng: 30.364,14 m2.
- Tổng diện tích sàn sử dụng căn hộ (thông thủy): 42.509,84 m2.
Cụ thể, Tháp C (01 cụm tháp 14 tầng, tầng kỹ thuật + mái che thang và khối đế 02 tầng bố trí căn hộ hỗn hợp (ở kết hợp thương mại dịch vụ)): 190 căn hộ (gồm 174 căn hộ, 16 căn hộ hỗn hợp), tổng diện tích sàn xây dựng 14.425,42m2 (chưa kể khối đế 02 tầng).
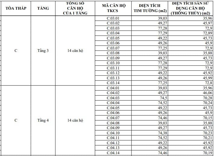
Danh sách mở bán 190 căn hộ tại Tháp C Khu chung cư ST5 KĐT mới Vàm Cỏ Đông Southgate Long An:








Trên đây là danh sách mở bán 190 căn hộ tại Tháp C Khu chung cư ST5 KĐT mới Vàm Cỏ Đông Southgate Long An

Mở bán 190 căn hộ tại Tháp C Khu chung cư ST5 KĐT mới Vàm Cỏ Đông Southgate Long An (Hình từ Internet)
Có thể chuyển nhượng hợp đồng thuê mua nhà ở hình thành trong tương lai không?
Hợp đồng mua bán, thuê mua nhà ở, công trình xây dựng được chuyển nhượng được quy định tại Điều 49 Luật Kinh doanh bất động sản 2023, cụ thể như sau:
Điều 49. Chuyển nhượng hợp đồng mua bán, thuê mua nhà ở, công trình xây dựng
1. Hợp đồng mua bán, thuê mua nhà ở, công trình xây dựng được chuyển nhượng theo quy định của Luật này bao gồm:
a) Hợp đồng mua bán nhà ở hình thành trong tương lai;
b) Hợp đồng thuê mua nhà ở hình thành trong tương lai;
c) Hợp đồng thuê mua công trình xây dựng có sẵn.
2. Quy định về chuyển nhượng hợp đồng kinh doanh bất động sản tại Mục 2 Chương VI của Luật này không áp dụng đối với hợp đồng mua bán, thuê mua nhà ở xã hội.
Như vậy, căn cứ theo quy định trên thì có thể chuyển nhượng hợp đồng thuê mua nhà ở hình thành trong tương lai.
Lưu ý: Việc chuyển nhượng hợp đồng kinh doanh bất động sản không áp dụng đối với hợp đồng mua bán, thuê mua nhà ở xã hội.
Điều kiện chuyển nhượng hợp đồng mua bán nhà ở hình thành trong tương lai?
Căn cứ theo Điều 50 Luật Kinh doanh bất động sản 2023 quy định về điều kiện chuyển nhượng hợp đồng kinh doanh bất động sản như sau:
Điều 50. Điều kiện chuyển nhượng hợp đồng kinh doanh bất động sản
1. Việc chuyển nhượng hợp đồng mua bán, thuê mua nhà ở, công trình xây dựng phải bảo đảm các điều kiện sau đây:
a) Thuộc diện chưa nộp hồ sơ đề nghị cơ quan nhà nước có thẩm quyền cấp giấy chứng nhận về quyền sử dụng đất, quyền sở hữu tài sản gắn liền với đất theo quy định của pháp luật về đất đai;
b) Hợp đồng mua bán, thuê mua nhà ở, công trình xây dựng không có tranh chấp đang được cơ quan có thẩm quyền thông báo, thụ lý, giải quyết theo quy định của pháp luật hoặc có tranh chấp về hợp đồng nhưng đã được cơ quan có thẩm quyền giải quyết bằng bản án, quyết định, phán quyết đã có hiệu lực pháp luật;
c) Nhà ở, công trình xây dựng thuộc hợp đồng mua bán, thuê mua không thuộc diện bị kê biên, thế chấp để bảo đảm cho việc thực hiện nghĩa vụ theo quy định của pháp luật, trừ trường hợp được bên nhận thế chấp đồng ý;
d) Có hợp đồng mua bán, thuê mua được xác lập theo quy định của pháp luật về kinh doanh bất động sản.
2. Việc chuyển nhượng hợp đồng mua bán, thuê mua nhà ở, công trình xây dựng được thực hiện đối với toàn bộ hợp đồng. Trường hợp mua bán, thuê mua nhiều căn nhà ở, công trình xây dựng trong cùng một hợp đồng mà các bên có nhu cầu chuyển nhượng từng căn nhà ở, công trình xây dựng thì các bên sửa đổi hợp đồng mua bán, thuê mua nhà ở, công trình xây dựng hoặc ký phụ lục hợp đồng trước khi thực hiện chuyển nhượng hợp đồng theo quy định tại Luật này.
Như vậy, việc chuyển nhượng hợp đồng mua bán nhà ở hình thành trong tương lai cần đáp ứng những điều kiện sau?
- Thuộc diện chưa nộp hồ sơ đề nghị cơ quan nhà nước có thẩm quyền cấp giấy chứng nhận về quyền sử dụng đất, quyền sở hữu tài sản gắn liền với đất theo quy định của pháp luật về đất đai;
- Hợp đồng mua bán, thuê mua nhà ở, công trình xây dựng không có tranh chấp đang được cơ quan có thẩm quyền thông báo, thụ lý, giải quyết theo quy định của pháp luật hoặc có tranh chấp về hợp đồng nhưng đã được cơ quan có thẩm quyền giải quyết bằng bản án, quyết định, phán quyết đã có hiệu lực pháp luật;
- Nhà ở, công trình xây dựng thuộc hợp đồng mua bán, thuê mua không thuộc diện bị kê biên, thế chấp để bảo đảm cho việc thực hiện nghĩa vụ theo quy định của pháp luật, trừ trường hợp được bên nhận thế chấp đồng ý;
- Có hợp đồng mua bán, thuê mua được xác lập theo quy định của pháp luật về kinh doanh bất động sản.
