Chi tiết 56 lô đất ở KDC đô thị, thương mại, dịch vụ tổng hợp phía Đông Nam huyện Kỳ Anh, Hà Tĩnh (giai đoạn 1)
Mua bán Đất tại Hà Tĩnh
Nội dung chính
Chi tiết 56 lô đất ở KDC đô thị, thương mại, dịch vụ tổng hợp phía Đông Nam huyện Kỳ Anh, Hà Tĩnh (giai đoạn 1)
Ủy ban nhân dân xã Kỳ Khang, huyện Kỳ Anh, tỉnh Hà Tĩnh đã ban hành Quyết định 642/QĐ-UBND năm 2025 về việc phê duyệt giá khởi điểm đấu giá quyền sử dụng đất đối với 56 lô đất ở thuộc Dự án khu dân cư đô thị, thương mại và dịch vụ tổng hợp phía Đông Nam (giai đoạn 1).
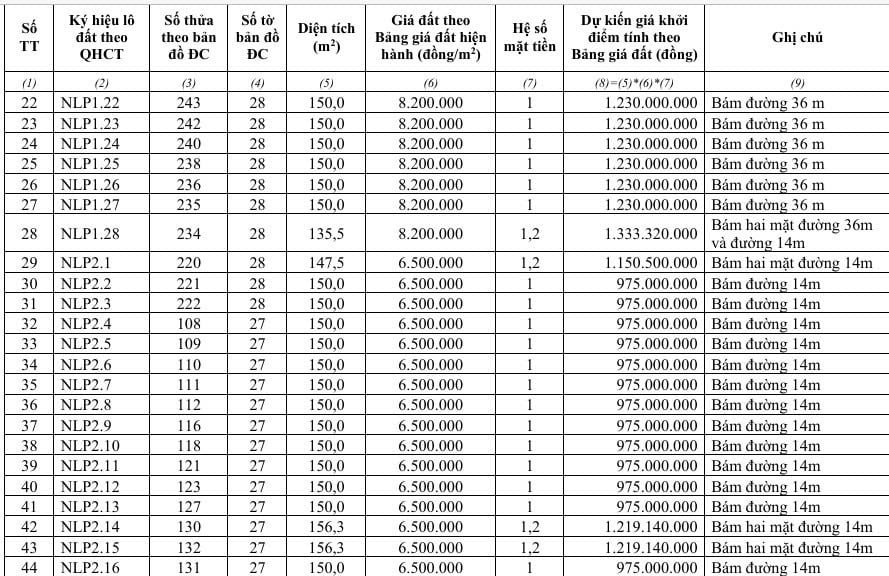
Cụ thể, phê duyệt giá khởi điểm giá khởi điểm đấu giá quyền sử dụng đất đối với 56 lô đất ở thuộc Dự án KDC đô thị, thương mại, dịch vụ tổng hợp phía Đông Nam huyện Kỳ Anh, Hà Tĩnh (giai đoạn 1) như sau:



Trên đây là chi tiết 56 lô đất ở KDC đô thị, thương mại, dịch vụ tổng hợp phía Đông Nam huyện Kỳ Anh, Hà Tĩnh (giai đoạn 1)

Chi tiết 56 lô đất ở KDC đô thị, thương mại, dịch vụ tổng hợp phía Đông Nam huyện Kỳ Anh, Hà Tĩnh (giai đoạn 1) (Hình từ Internet)
Đấu giá quyền sử dụng đất trong những trường hợp nào?
Căn cứ khoản 1 Điều 125 Luật Đất đai 2024 quy định Nhà nước giao đất có thu tiền sử dụng đất, cho thuê đất trả tiền một lần cho cả thời gian thuê thông qua đấu giá quyền sử dụng đất trong các trường hợp sau đây:
Các dự án đầu tư sử dụng đất từ quỹ đất do cơ quan, tổ chức nhà nước quản lý, bao gồm đất chưa giao, chưa cho thuê hoặc đất đã được giao để quản lý theo quy định tại khoản 1 Điều 217 Luật Đất đai 2024, ngoại trừ các trường hợp được quy định tại Điều 124 và Điều 126 Luật Đất đai 2024.
- Đất sử dụng vào mục đích công cộng;
- Đất sông, ngòi, kênh, rạch, suối, ao, hồ, đầm, phá;
- Đất nghĩa trang, nhà tang lễ, cơ sở hỏa táng; đất cơ sở lưu giữ tro cốt;
- Đất có mặt nước chuyên dùng;
- Đất rừng đặc dụng, đất rừng phòng hộ, đất rừng sản xuất;
- Đất do Nhà nước thu hồi và giao cho tổ chức phát triển quỹ đất quản lý;
- Đất do Nhà nước thu hồi và giao Ủy ban nhân dân cấp xã quản lý trong các trường hợp tại điểm đ khoản 1 và khoản 3 Điều 82; khoản 2 Điều 82 tại khu vực nông thôn; khoản 5 Điều 86; điểm e khoản 2 Điều 181 Luật Đất đai 2024;
- Đất giao lại, chuyển quyền sử dụng đất của tổ chức nước ngoài có chức năng ngoại giao khi không có nhu cầu sử dụng đất thực hiện trên cơ sở điều ước quốc tế, thỏa thuận quốc tế và quy định của pháp luật có liên quan;
- Đất nông nghiệp sử dụng vào mục đích công ích của xã, phường, thị trấn;
- Đất chưa sử dụng.
- Giao đất ở cho cá nhân trừ trường hợp quy định tại Điều 124 Luật Đất đai 2024.
Việc đấu giá quyền sử dụng đất là một phương thức minh bạch và hiệu quả nhằm phân bổ nguồn tài nguyên đất đai, đảm bảo sử dụng đất đúng mục đích, phù hợp với quy hoạch và mang lại nguồn thu cho ngân sách nhà nước.
Quy định chi tiết tại Luật Đất đai 2024 đã xác định rõ các trường hợp áp dụng đấu giá, tạo cơ sở pháp lý vững chắc cho việc quản lý và khai thác nguồn lực đất đai một cách công bằng, công khai và hiệu quả.
Huyện Kỳ Anh Hà Tĩnh sau sáp nhập thay đổi như thế nào?
Theo Đề án số 391/ĐA-CP ngày 09 tháng 5 năm 2025 của Chính phủ về sắp xếp đơn vị hành chính cấp xã của tỉnh Hà Tĩnh năm 2025 thì thông tin về các xã của Huyện Kỳ Anh cũ trước sáp nhập (trước 01/07/2025) bao gồm 2 thị trấn và 19 xã, cụ thể là:
Thị trấn: Kỳ Đồng (huyện lỵ).
Xã: Kỳ Bắc, Kỳ Châu, Kỳ Giang, Kỳ Hải, Kỳ Khang, Kỳ Lạc, Kỳ Phong, Kỳ Phú, Kỳ Sơn, Kỳ Tân, Kỳ Tây, Kỳ Thọ, Kỳ Thư, Kỳ Thượng, Kỳ Tiến, Kỳ Trung, Kỳ Văn, Kỳ Xuân, Lâm Hợp.
Căn cứ theo khoản 5, 6, 7, 8, 9, 10, 11 và 65 Điều 1 Nghị quyết 1665/NQ-UBTVQH15 năm 2025 về sắp xếp đơn vị hành chính của Tỉnh Hà Tĩnh năm 2025 có quy định như sau:
Điều 1. Sắp xếp các đơn vị hành chính cấp xã của tỉnh Hà Tĩnh
Trên cơ sở Đề án số 391/ĐA-CP ngày 09 tháng 5 năm 2025 của Chính phủ về sắp xếp đơn vị hành chính cấp xã của tỉnh Hà Tĩnh năm 2025, Ủy ban Thường vụ Quốc hội quyết định sắp xếp để thành lập các đơn vị hành chính cấp xã của tỉnh Hà Tĩnh như sau:
[...]
5. Sắp xếp toàn bộ diện tích tự nhiên, quy mô dân số của các xã Kỳ Phong, Kỳ Bắc và Kỳ Xuân thành xã mới có tên gọi là xã Kỳ Xuân.
6. Sắp xếp toàn bộ diện tích tự nhiên, quy mô dân số của thị trấn Kỳ Đồng và các xã Kỳ Giang, Kỳ Tiến, Kỳ Phú thành xã mới có tên gọi là xã Kỳ Anh.
7. Sắp xếp toàn bộ diện tích tự nhiên, quy mô dân số của xã Kỳ Tân và xã Kỳ Hoa thành xã mới có tên gọi là xã Kỳ Hoa.
8. Sắp xếp toàn bộ diện tích tự nhiên, quy mô dân số của các xã Kỳ Tây, Kỳ Trung và Kỳ Văn thành xã mới có tên gọi là xã Kỳ Văn.
9. Sắp xếp toàn bộ diện tích tự nhiên, quy mô dân số của các xã Kỳ Thọ, Kỳ Thư và Kỳ Khangthành xã mới có tên gọi là xã Kỳ Khang.
10. Sắp xếp toàn bộ diện tích tự nhiên, quy mô dân số của xã Lâm Hợp và xã Kỳ Lạc thành xã mới có tên gọi là xã Kỳ Lạc.
11. Sắp xếp toàn bộ diện tích tự nhiên, quy mô dân số của xã Kỳ Sơn và xã Kỳ Thượng thành xã mới có tên gọi là xã Kỳ Thượng.
[...]
65. Sắp xếp toàn bộ diện tích tự nhiên, quy mô dân số của phường Kỳ Ninh, xã Kỳ Hà vàxã Kỳ Hải thành phường mới có tên gọi là phường Hải Ninh.
[...]
Căn cứ theo quy định nêu trên thì 8 phường xã mới của Huyện Kỳ Anh cũ (Thuộc Tỉnh Hà Tĩnh) bao gồm:
Số thứ tự | Đơn vị hành chính cũ (Huyện Kỳ Anh) | Đơn vị hành chính mới |
|---|---|---|
1 | Xã Kỳ Phong, xã Kỳ Bắc, xã Kỳ Xuân (Huyện Kỳ Anh) | Xã Kỳ Xuân |
2 | Thị trấn Kỳ Đồng, xã Kỳ Giang, xã Kỳ Tiến, xã Kỳ Phú (Huyện Kỳ Anh) | Xã Kỳ Anh |
3 | Xã Kỳ Tân (Huyện Kỳ Anh), xã Kỳ Hoa (Thị xã Kỳ Anh) | Xã Kỳ Hoa |
4 | Xã Kỳ Tây, xã Kỳ Trung, xã Kỳ Văn (Huyện Kỳ Anh) | Xã Kỳ Văn |
5 | Xã Kỳ Thọ, xã Kỳ Thư, xã Kỳ Khang (Huyện Kỳ Anh) | Xã Kỳ Khang |
6 | Xã Lâm Hợp, xã Kỳ Lạc (Huyện Kỳ Anh) | Xã Kỳ Lạc |
7 | Xã Kỳ Sơn, xã Kỳ Thượng (Huyện Kỳ Anh) | Xã Kỳ Thượng |
8 | phường Kỳ Ninh, xã Kỳ Hà (Thị xã Kỳ Anh) và xã Kỳ Hả (Huyện Kỳ Anh) | Phường Hải Ninh |
