Thông tin đấu giá 105 lô đất khu dân cư Cầu Chẹm, xã Gia Thanh, huyện Gia Viễn cũ, Ninh Bình
Mua bán Đất tại Ninh Bình
Nội dung chính
Thông tin đấu giá 105 lô đất khu dân cư Cầu Chẹm, xã Gia Thanh, huyện Gia Viễn cũ, Ninh Bình
Mới đây Công ty hợp danh đấu giá tài sản Tuấn Linh đã có Thông báo 68/2025/TBĐG về đấu giá quyền sử dụng đất 105 lô Khu dân cư Cầu Chẹm, xã Gia Thanh, huyện Gia Viễn (nay là xã Gia Trấn, tỉnh Ninh Bình).
Theo đó, Thông tin đấu giá 105 lô đất khu dân cư Cầu Chẹm, xã Gia Thanh, huyện Gia Viễn cũ, Ninh Bình:
Dưới đây là nội dung bạn cung cấp được trình bày lại dưới dạng bảng rõ ràng:
STT | Nội dung | Chi tiết |
|---|---|---|
1 | Tổ chức có tài sản đấu giá | Công ty Cổ phần Đầu tư Thành Thắng Group |
Địa chỉ | Thôn Trì Động, xã Gia Trấn, tỉnh Ninh Bình | |
2 | Tổ chức đấu giá tài sản | Công ty Hợp danh Đấu giá Tài sản Tuấn Linh |
Địa chỉ trụ sở | Số nhà 29, ngõ 40, đường Lê Thái Tổ, phố Tân Thịnh, phường Hoa Lư, tỉnh Ninh Bình | |
3 | Tài sản đấu giá | Quyền sử dụng 105 lô đất khu dân cư Cầu Chẹm, xã Gia Thanh, huyện Gia Viễn (nay là xã Gia Trấn, tỉnh Ninh Bình) |
4 | Thời gian, địa điểm tổ chức đấu giá | |
Mua và tiếp nhận hồ sơ | Trong giờ hành chính, từ 7h30 ngày 04/8/2025 đến 17h00 ngày 13/8/2025 tại trụ sở Công ty Tuấn Linh | |
Nộp tiền đặt trước | Trong giờ hành chính, từ 7h30 ngày 04/8/2025 đến 17h00 ngày 13/8/2025 bằng tiền mặt tại trụ sở Công ty Tuấn Linh | |
Thời gian tổ chức đấu giá | 08 giờ 00 phút, ngày 16/8/2025 | |
Địa điểm tổ chức đấu giá | Thành Thắng Plaza, Thôn Thượng Hòa, xã Gia Trấn, tỉnh Ninh Bình | |
5 | Điều kiện tham gia đấu giá |
|
- Thuộc đối tượng được Nhà nước giao đất, cho thuê đất theo quy định tại khoản 1 Điều 119 của Luật Đất đai 2024 | ||
- Nộp tiền đặt trước đúng quy định | ||
- Không thuộc đối tượng bị cấm tham gia đấu giá | ||
6 | Cách thức đăng ký | Đăng ký trực tiếp tại trụ sở Công ty Tuấn Linh |
7 | Hình thức, phương thức đấu giá | |
Hình thức | Đấu giá bằng bỏ phiếu trực tiếp tại cuộc đấu giá (tối đa 03 vòng trả giá) | |
Phương thức | Trả giá lên | |
8 | Liên hệ | Công ty CP Đầu tư Thành Thắng Group và Công ty Tuấn Linh |
Địa chỉ | SN 29, ngõ 40, đường Lê Thái Tổ, phố Tân Thịnh, phường Hoa Lư, tỉnh Ninh Bình | |
Điện thoại | 02293.882.885 | |
Tiền mua hồ sơ mời tham gia đấu giá là 200.000 đồng/01 hồ sơ tham gia đấu giá.
Khách hàng tự xem tài sản đấu giá theo niêm yết tại trụ sở UBND xã Gia Trấn, Công ty cổ phần đầu tư Thành Thắng Group và trụ sở Công ty hợp danh đấu giá tài sản Tuấn Linh từ ngày 04/8/2025 đến ngày 13/8/2025.

Thông tin đấu giá 105 lô đất khu dân cư Cầu Chẹm, xã Gia Thanh, huyện Gia Viễn cũ, Ninh Bình (hình từ internet)
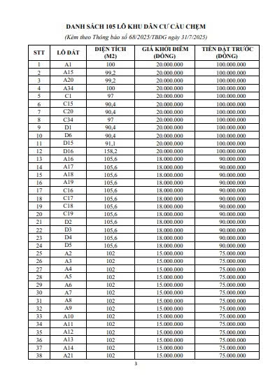
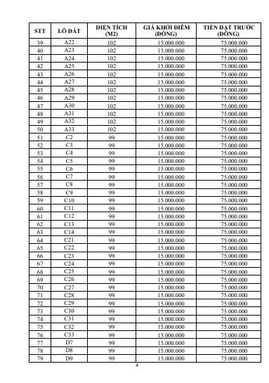
Chi tiết danh sách 105 lô đất khu dân cư Cầu Chẹm được đấu giá
Theo Thông báo 68/2025/TBĐG về đấu giá quyền sử dụng đất 105 lô Khu dân cư Cầu Chẹm, xã Gia Thanh, huyện Gia Viễn (nay là xã Gia Trấn, tỉnh Ninh Bình), gía khởi điểm của các lô đất là từ 15,000,000 VNĐ, số tiền đặt trước là 75,000,000 VNĐ.
Cụ thể danh sách 105 lô đất khu dân cư Cầu Chẹm được đấu giá ban hành kèm theo Thông báo 68/2025/TBĐG như sau:
Xem chi tiết danh sách 105 lô đất khu dân cư Cầu Chẹm được đấu giá: Tại đây
Để tiến hành đấu giá quyền sử dụng đất cần đáp ứng điều kiện gì?
Căn cứ theo khoản 2 Điều 125 Luật Đất đai 2024 quy định như sau:
Điều 125. Giao đất, cho thuê đất thông qua đấu giá quyền sử dụng đất
[...]
2. Điều kiện để tiến hành đấu giá quyền sử dụng đất bao gồm:
a) Đất đã được thu hồi và hoàn thành bồi thường, hỗ trợ, tái định cư hoặc không phải bồi thường, hỗ trợ, tái định cư; trong khu vực dự án có hạ tầng giao thông đã được kết nối;
b) Có trong kế hoạch sử dụng đất hằng năm cấp huyện đã được phê duyệt vào mục đích sử dụng để đấu giá quyền sử dụng đất, trừ trường hợp đấu giá quyền sử dụng đất đối với đất quy định tại điểm e khoản 1 Điều 217 của Luật này;
c) Có quy hoạch chi tiết 1/500 được cơ quan nhà nước có thẩm quyền tổ chức lập và phê duyệt đối với dự án đầu tư xây dựng nhà ở;
d) Có phương án đấu giá quyền sử dụng đất đã được cơ quan có thẩm quyền phê duyệt.
[...]
Theo đó, để tiến hành đấu giá quyền sử dụng đất cần đáp ứng các điều kiện sau:
- Đất đã được thu hồi và hoàn thành bồi thường, hỗ trợ, tái định cư hoặc không phải bồi thường, hỗ trợ, tái định cư; trong khu vực dự án có hạ tầng giao thông đã được kết nối;
- Có trong kế hoạch sử dụng đất hằng năm cấp huyện đã được phê duyệt vào mục đích sử dụng để đấu giá quyền sử dụng đất, (trừ khi đấu giá quyền sử dụng đất đối với đất do Nhà nước thu hồi và giao cho tổ chức phát triển quỹ đất quản lý);
- Có quy hoạch chi tiết 1/500 được tổ chức lập và phê duyệt đối với dự án đầu tư xây dựng nhà ở;
- Có phương án đấu giá quyền sử dụng đất đã được phê duyệt.
