Thông tin 284 lô đất ở tại xã Bình Minh tỉnh Ninh Bình sắp đấu giá
Mua bán Đất trên toàn quốc
Nội dung chính
Thông tin 284 lô đất ở tại xã Bình Minh tỉnh Ninh Bình sắp đấu giá
Mới đây, Trung tâm Dịch vụ đấu giá tài sản tỉnh Ninh Bình đã có Thông báo 48/TB-ĐG năm 2025 về đấu giá quyền sử dụng 284 lô đất ở tại xóm Bình Minh 7, xã Bình Minh, tỉnh Ninh Bình.
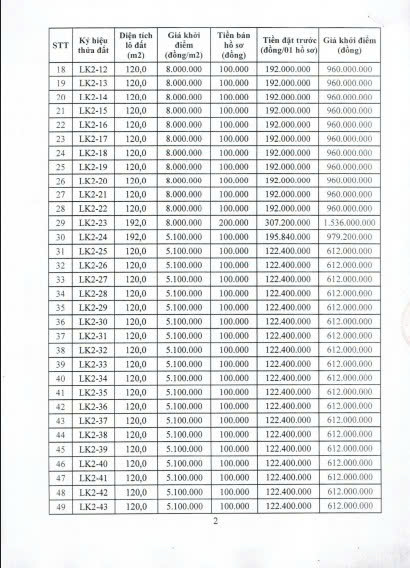
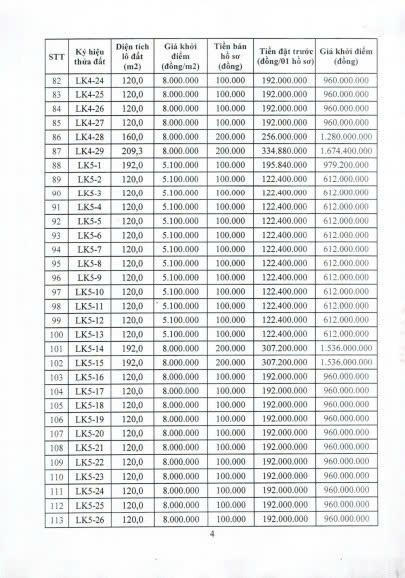
Theo đó 284 lô đất ở tại xã Bình Minh tỉnh Ninh Bình sắp đấu giá thuộc quy hoạch chi tiết khu dân cư đô thị khối 7, thị trấn Bình Minh, huyện Kim Sơn cũ, cụ thể như sau:
>> Xem đầy đủ thông tin 284 lô đất ở tại xã Bình Minh tỉnh Ninh Bình sắp đấu giá: Tại đây

Thông tin 284 lô đất ở tại xã Bình Minh tỉnh Ninh Bình sắp đấu giá (Hình từ internet)
Thời gian và địa điểm xem tài sản đấu giá 284 lô đất ở tại xã Bình Minh tỉnh Ninh Bình
Theo Thông báo 48/TB-ĐG năm 2025 thì thời gian và địa điểm xem tài sản đấu giá 284 lô đất ở tại xã Bình Minh tỉnh Ninh Bình như sau:
- Thời gian xem tài sản: 03 ngày làm việc. Từ 08 giờ 00’ ngày 08/10/2025 đến 17 giờ 00’ ngày 10/10/2025 (trong giờ hành chính).
- Địa điểm: tại thực địa khu đất đấu giá thuộc xóm Bình Minh 7, xã Bình Minh, tỉnh Ninh Bình.
Người tham gia đấu giá có nhu cầu xem tài sản đấu giá tại thực địa các khu đất đấu giá thì liên hệ và đăng ký với Trung tâm Dịch vụ đấu giá tài sản tỉnh Ninh Bình để được hướng dẫn chi tiết và xem tài sản thực địa; Người tham gia đấu giá không liên hệ và đăng ký xem tài sản với Trung tâm Dịch vụ đấu giá tài sản tỉnh Ninh Bình thì được coi là chấp nhận hiện trạng của tài sản.
Hồ sơ tham gia đấu giá bao gồm:
- Phiếu đăng ký tham gia đấu giá quyền sử dụng đất (theo mẫu);
- Bản phô tô Căn cước công dân;
- Giấy nộp tiền (giấy chuyển khoản) vào tài khoản do Ngân hàng phát hành bản chính (nếu có);
- Chứng từ mua hồ sơ tham gia đấu giá.
Điều kiện tham gia đấu giá đất theo Luật Đất đai 2024 là gì?
Căn cứ theo khoản 3, khoản 4 Điều 125 Luật Đất đai 2024 quy định giao đất, cho thuê đất thông qua đấu giá quyền sử dụng đất như sau:
Điều 125. Giao đất, cho thuê đất thông qua đấu giá quyền sử dụng đất
1. Nhà nước giao đất có thu tiền sử dụng đất, cho thuê đất trả tiền một lần cho cả thời gian thuê thông qua đấu giá quyền sử dụng đất trong các trường hợp sau đây:
a) Dự án đầu tư sử dụng đất từ quỹ đất quy định tại khoản 1 Điều 217 của Luật này, trừ trường hợp quy định tại Điều 124 và Điều 126 của Luật này;
b) Giao đất ở cho cá nhân trừ trường hợp quy định tại Điều 124 của Luật này.
2. Điều kiện để tiến hành đấu giá quyền sử dụng đất bao gồm:
a) Đất đã được thu hồi và hoàn thành bồi thường, hỗ trợ, tái định cư hoặc không phải bồi thường, hỗ trợ, tái định cư; trong khu vực dự án có hạ tầng giao thông đã được kết nối;
b) Có trong kế hoạch sử dụng đất hằng năm cấp huyện đã được phê duyệt vào mục đích sử dụng để đấu giá quyền sử dụng đất, trừ trường hợp đấu giá quyền sử dụng đất đối với đất quy định tại điểm e khoản 1 Điều 217 của Luật này;
c) Có quy hoạch chi tiết 1/500 được cơ quan nhà nước có thẩm quyền tổ chức lập và phê duyệt đối với dự án đầu tư xây dựng nhà ở;
d) Có phương án đấu giá quyền sử dụng đất đã được cơ quan có thẩm quyền phê duyệt.
3. Tổ chức tham gia đấu giá quyền sử dụng đất trong các trường hợp quy định tại khoản 1 Điều này phải có đủ các điều kiện sau đây:
a) Thuộc đối tượng được Nhà nước giao đất, cho thuê đất theo quy định tại Điều 119 và Điều 120 của Luật này;
b) Bảo đảm các điều kiện quy định tại Điều 122 của Luật này đối với trường hợp giao đất, cho thuê đất để thực hiện dự án đầu tư; có năng lực, kinh nghiệm trong việc phát triển dự án;
c) Điều kiện khác theo quy định của pháp luật về đấu giá tài sản.
4. Cá nhân tham gia đấu giá quyền sử dụng đất phải đáp ứng các điều kiện sau đây:
a) Thuộc đối tượng được Nhà nước giao đất, cho thuê đất quy định tại Điều 119 và Điều 120 của Luật này;
b) Điều kiện theo quy định của pháp luật về đấu giá tài sản.
[...]
Theo đó, điều kiện tham gia đấu giá đất theo Luật Đất đai 2024 như sau:
- Tổ chức tham gia đấu giá quyền sử dụng đất trong các trường hợp quy định tại khoản 1 Điều 125 Luật Đất đai 2024 phải có đủ các điều kiện sau đây:
+ Thuộc đối tượng được Nhà nước giao đất, cho thuê đất theo quy định tại Giao đất có thu tiền sử dụng đất tại Điều 119 Luật Đất đai 2024 và Cho thuê đất Điều 120 Luật Đất đai 2024;
+ Bảo đảm các điều kiện giao đất, cho thuê đất, cho phép chuyển mục đích sử dụng đất tại Điều 122 Luật Đất đai 2024 đối với trường hợp giao đất, cho thuê đất để thực hiện dự án đầu tư; có năng lực, kinh nghiệm trong việc phát triển dự án;
+ Điều kiện khác theo quy định của pháp luật về đấu giá tài sản.
- Cá nhân tham gia đấu giá quyền sử dụng đất phải đáp ứng các điều kiện sau đây:
+ Thuộc đối tượng được Nhà nước giao đất, cho thuê đất theo quy định tại Giao đất có thu tiền sử dụng đất tại Điều 119 Luật Đất đai 2024 và Cho thuê đất Điều 120 Luật Đất đai 2024;
+ Điều kiện theo quy định của pháp luật về đấu giá tài sản.
